人気の新しい最高の壁紙無料ABHD

Oou De Jg

Photonic Circuits Written By Femtosecond Laser In Glass Improved Fabrication And Recent Progress In Photonic Devices

Pdf Fluidos Frank M White Fluid Mechanics Solutions Mohit Deshmukh Academia Edu

Insights Into The Composition Of Ancient Egyptian Red And Black Inks On Papyri Achieved By Synchrotron Based Microanalyses Pnas

Geosparql Syntax Semantics And System For Integrated Querying Of Graph Raster And Vector Data Springerlink

Fast Inference Of Individual Admixture Coefficients Using Geographic Data Biorxiv

Technologies Free Full Text Effective 5g Wireless Downlink Scheduling And Resource Allocation In Cyber Physical Systems Html

Æ * G J % ) ( * G " % n ì Ñ & û í à ´ Q y 4 q Q £ ÷ % % Q Ò ñ é $ ß Ñ A Ð ' K % ) f Æ y C U D Í Ä V y N Í Ä B Â C Í Ä ) ( C ô Ô Å Ç C è = ³ & 3 Ä ² h B % j « è à ´ ³ ² h C Ò ñ é $ ß Q Ð ' J ' & Á ± j ¥ z * A £ ÷ í N U D Í Ä.

Oou de jg. Okamura_MS9ZJN_Risefit III_Rectangle Form_Silver Column Revit. &(&( 0 0 0. 04/17/21 '* } !.

Pdf Re Evaluating Schaefer And His Criticizing On Exceptionalism In Geography A Case Study On The Innovation Of Methodology

Catalysts Free Full Text Substitution Of Co With Ni In Co Al2o3 Catalysts For Fischer Tropsch Synthesis Html

Structural Determinants Of Bacterial Lytic Polysaccharide Monooxygenase Functionality Journal Of Biological Chemistry

How To Solve Unicode Encoding Issues

Untitled Physics Manualzz

Therapeutic And Diagnostic Translation Of Extracellular Vesicles In Cardiovascular Diseases Circulation

Catalytic Behavior Of Molybdenum Sulfide For The Hydrogen Evolution Reaction As A Function Of Crystallinity And Particle Size Using Carbon Multiwall Nanotubes As Substrates

How To Type Letters With Accents On Mac

Index Typefaces Optimo

Tamil G 11 Pdf

A Based Similarity Assessment Of Semantic Graphs Springerlink

Combo D Catalog Datasheet By Itt Cannon Llc Digi Key Electronics

Mathematics Free Full Text The Emergence Of Fuzzy Sets In The Decade Of The Perceptron Lotfi A Zadeh S And Frank Rosenblatt S Research Work On Pattern Classification Html

Questesdefundamentos Ano03

Acp Seasonal Source Variability Of Carbonaceous Aerosols At The Rwanda Climate Observatory

0 Lmn Lo L Pq R L Stu V W Xy Z 1 A B Cd Efgh Bij Ekgh Leemnopqrst U5 Vswx Y Bgz

Metal Promoted Mo6s8 Clusters A Platform For Probing Ensemble Effects On The Electrochemical Conversion Of Co2 And Co To Methanol Materials Horizons Rsc Publishing

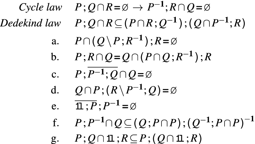
Reasoning On Relations Modalities And Sets Springerlink

Bg Haplo Diplontic Life Cycle Expands Coccolithophore Niche

Scriptsource Entry Phonetic Symbol Guide

Standardized Quality Metric System For Structural Brain Magnetic Resonance Images In Multi Center Neuroimaging Study Springerlink

Osa Highly Compact And Cost Effective 2 Beam Super Resolution Structured Illumination Microscope Based On All Fiber Optic Components

Ascii Code Uppercase Slashed Zero Or Empty Set American Standard Code For Information Interchange The Complete Ascii Table Characters Letters Vowels With Accents Consonants Signs Symbols Numbers Uppercase Slashed Zero Empty Set Ascii 157 Ascii

Page 95 Canoae O Ok Cdr

Combo D Catalog Datasheet By Itt Cannon Llc Digi Key Electronics

Feeding By Common Heterotrophic Protists On The Phototrophic Dinoflagellate Biecheleriopsis Adriatica Suessiaceae Compared To That Of Other Suessioid Dinoflagellates

Polymers Free Full Text Physico Mechanical Properties Of The Poly Oxymethylene Composites Reinforced With Glass Fibers Under Dynamical Loading Html

Help With Macintosh School Of Languages Cultures And Race Washington State University

Bg Regulation Of Nitrous Oxide Production In Low Oxygen Waters Off The Coast Of Peru

Minerals Free Full Text Trace Elements In Apatite As Genetic Indicators Of The Evate Apatite Magnetite Deposit Ne Mozambique Html

Fancy Letters ꭿ น ꭿ ℊ ℬ Copy And Paste Unicode Character Table

A Functional Group Based Approach To Modeling Real Fuel Combustion Chemistry Ii Kinetic Model Construction And Validation Sciencedirect

Experimental Analysis Of The Performance Of Mobile Manipulators Executing Generalized Point To Point Tasks Springerlink

A Pipeline To Create Predictive Functional Networks Application To The Tumor Progression Of Hepatocellular Carcinoma Biorxiv

Multifractional Levy Motions

Solved The Energy Band Diagram For An Ideal Xo 0 2 Mm Mos C Ope Chegg Com

Altgr Key Wikipedia

International Phonetic Alphabet Wikipedia

Mechanochemical Synthesis Of Catalytic Materials Amrute 21 Chemistry A European Journal Wiley Online Library

Research On Oblivious Keyword Search Protocols With Cka Security Jiang 18 International Journal Of Communication Systems Wiley Online Library

Copepod Manipulation Of Oil Droplet Size Distribution Scientific Reports

Viburnumfocesides A D 1 O Isovaleroylated Iridoid 11 O Alloside Derivatives From Viburnum Foetidum Var Ceanothoides Sciencedirect

دليل التربية الموسيقي ة

Pdf On Some New Or Little Known Entoloma Species Tricholomatinae Basidiomycota From Norway Agarica 39 31 52

A Real Time Traffic Index Model For Expressways Xu 19 Concurrency And Computation Practice And Experience Wiley Online Library

Sms Length Calculator And Text Message Segment Counter

If U A B C D E F G H Find The Complements Of The Following Sets I A Youtube

Life Free Full Text Low Digit And High Digit Polymers In The Origin Of Life Html

Type Inference For C Applications To The Static Analysis Of Incomplete Programs

Helix 8 Is The Essential Structural Motif Of Mechanosensitive Gpcrs Nature Communications

Spanish Word Stress Chapter 8 The Study Of Word Stress And Accent

Pdf Chapter 4 Bullet Differential Relations For A Fluid Particle Morteza Nemati Academia Edu

Sensitivity Study On The Influence Of Cloud Microphysical Parameters On Mixed Phase Cloud Thermodynamic Phase Partitioning In Cam5 In Journal Of The Atmospheric Sciences Volume 73 Issue 2 16

Gmd Ocean Biogeochemistry In The Norwegian Earth System Model Version 2 Noresm2

Frontiers Peripheral Blood And Salivary Biomarkers Of Blood Brain Barrier Permeability And Neuronal Damage Clinical And Applied Concepts Neurology

Scrabble Letter Distributions Wikipedia

Cargo Typefaces Optimo

Ascii Code

Scrabble Letter Distributions Wikipedia

Transformation Of Co 3 O 4 Nanoparticles To Coo Monitored By In Situ Tem And Predicted Ferromagnetism At The Co 3 O 4 Coo Interface From First Princi Journal Of

Scriptsource Entry Phonetic Symbol Guide

Frontiers A Mechanistic Model Of Macromolecular Allocation Elemental Stoichiometry And Growth Rate In Phytoplankton Microbiology

Microbiota Control Of Maternal Behavior Regulates Early Postnatal Growth Of Offspring Science Advances

Osa Single Molecule Orientation Localization Microscopy I Fundamental Limits

Pharma Typefaces Optimo

Alt Codes List Alt Key Codes Symbols Sheet Unicode Character Table

Osa Single Molecule Orientation Localization Microscopy I Fundamental Limits

Clutter Nulling Space Time Adaptive Processing Algorithm Based On Sparse Representation For Airborne Radar Zetao 17 Iet Radar Sonar Amp Navigation Wiley Online Library

Questesdefundamentos Ano03

Scriptsource Entry Phonetic Symbol Guide

Rama Namamu Janma Athana Pdf Gaanapriya

Alt Codes How To Type Special Characters And Keyboard Symbols On Windows Using The Alt Keys

Molecular Characterization Of G Type Lysozyme From Juvenile Golden Pompano Trachinotus Ovatus And The Regulation Of Its Activity And Expression By Dietary Sodium Butyrate Levels Sciencedirect

Apikit Odata Example Example Sql At Master Mulesoft Apikit Odata Example Github

Altgr Key Wikipedia

Jungkook Nasty Print Hoodie

Rama Rama Nivaramu Anandabhairavi Pdf

Windows 1252 Wikipedia

Altgr Key Wikipedia

Feeding By Common Heterotrophic Protists On The Phototrophic Dinoflagellate Biecheleriopsis Adriatica Suessiaceae Compared To That Of Other Suessioid Dinoflagellates

Algebraic And Dynamic Graph Algorithms Springerlink

Woa1 Crystallization And Structure Determination Of Staphylococcus Aureus Nad Synthetase Google Patents

Pdf Adverse Drug Reaction Surveillance System In Korea

Optimal Design Of Reinforced Concrete Beams For Rectangular Sections With Straight Haunches

0 Lmn Lo L Pq R L Stu V W Xy Z 1 A B Cd Efgh Bij Ekgh Leemnopqrst U5 Vswx Y Bgz