人気の新しい最高の壁紙無料ABHD

Lb Oou De Za

Iso Iec 59 1 Wikipedia

Ntp 334 006

Magneto Mechanically Actuated Microstructures To Efficiently Prevent Bacterial Biofilm Formation Scientific Reports

Altgr Key Wikipedia

Applied Sciences Free Full Text Polyphenols Natural Antioxidants To Be Used As A Quality Tool In Wine Authenticity Html

Myofibrillar Z Discs Are A Protein Phosphorylation Hot Spot With Protein Kinase C Pkca Modulating Protein Dynamics Molecular Cellular Proteomics

Ascii Code

If U A B C D E F G H Find The Complements Of The Following Sets I A Youtube

Viburnumfocesides A D 1 O Isovaleroylated Iridoid 11 O Alloside Derivatives From Viburnum Foetidum Var Ceanothoides Sciencedirect

Manual Manualzz

I Msu6 Th Y T Iiae Y Aoq 67i 8w Etn ƒc O Y H 8i Ge A V Y U E Ss C Sue ƒeaeu Cf Ude I Pa47œ U O Y Sj 9 Ti 5 A P Niooœ It Osn I M 4b Eˆ Ipa Uºooyo Wz Oyt T G G œm œo Qc N Ki E E ÿn O0 Aj

Magneto Mechanically Actuated Microstructures To Efficiently Prevent Bacterial Biofilm Formation Scientific Reports

Evaluating Monin Obukhov Scaling In The Unstable Oceanic Surface Layer In Journal Of Physical Oceanography Volume 51 Issue 3 21

Methods To Achieve Fast Accurate And Mechanically Robust Optical Breadboard Alignment

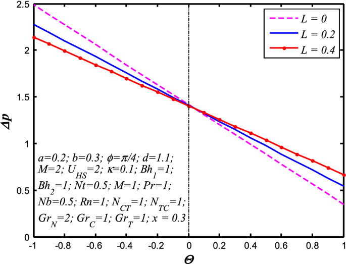
Convective Heat Transfer And Double Diffusive Convection In Ionic Nanofluids Flow Driven By Peristalsis And Electromagnetohydrodynamics Springerlink

Ls037v7dw03a Datasheet By Sharp Microelectronics Digi Key Electronics

Catalytic Behavior Of Molybdenum Sulfide For The Hydrogen Evolution Reaction As A Function Of Crystallinity And Particle Size Using Carbon Multiwall Nanotubes As Substrates

Recent Heavy Flavour Physics Results From The Tevatron

Energies Free Full Text Characterization Of Pore Structures And Implications For Flow Transport Property Of Tight Reservoirs A Case Study Of The Lucaogou Formation Jimsar Sag Junggar Basin Northwestern China Html

Osa Single Molecule Orientation Localization Microscopy I Fundamental Limits

Osa Single Molecule Orientation Localization Microscopy I Fundamental Limits

How To Type Letters With Accents On Mac

0 Lmn Lo L Pq R L Stu V W Xy Z 1 A B Cd Efgh Bij Ekgh Leemnopqrst U5 Vswx Y Bgz

Semelfactives Are Bigger Than Degree Achievements Springerlink

Combo D Catalog Datasheet By Itt Cannon Llc Digi Key Electronics

Methods To Achieve Fast Accurate And Mechanically Robust Optical Breadboard Alignment

B Hadron Crosssection Via Single Muons In Pp

Nutrients Free Full Text Vitamin Status Among Breastfed Infants In Bhaktapur Nepal Html

Candy Ctg 1256 Sy User Manual Manualzz

Bg Regulation Of Nitrous Oxide Production In Low Oxygen Waters Off The Coast Of Peru

Online Presentation

B Hadron Crosssection Via Single Muons In Pp

Spin Density Matrix Elements In Exclusive Omega Meson Muoproduction Cern Document Server

Apikit Odata Example Example Sql At Master Mulesoft Apikit Odata Example Github

I U00e2 U00d3s U00cdo8 U00df U00cf U00bc U00d3 U00fb U00da8b U00fb U00bd U00f8 U00c5 U00bdf U00c3 Rp U00e6o U00e4 7 T U00f9 U00f6x4 U00dd4che U00e6 D U00fa0 U00db U00db65 U00ee1 U00ebv U0160geuf U017e4 U00d2 U02c6 U00ceh U00d5 3 U00ca U00e2 U00e2

Alt Codes List Alt Key Codes Symbols Sheet Unicode Character Table

Ls037v7dw03a Datasheet By Sharp Microelectronics Digi Key Electronics

B Hadron Crosssection Via Single Muons In Pp

Odowz9rundnnam

B Hadron Crosssection Via Single Muons In Pp

Hoover Htv 712 6 1 30 Htv 712 6 Sy Htv 712 6 1 16s Htv 712 6 30 Htv 709 6 30 Htv 710 6 30 User Manual Manualzz

Insights Into The Composition Of Ancient Egyptian Red And Black Inks On Papyri Achieved By Synchrotron Based Microanalyses Pnas

Pdf Engineering Electromagnetics 8th Edition Full Solutions Manual By William Hayt Rodrigo Villalta Academia Edu

0 Lmn Lo L Pq R L Stu V W Xy Z 1 A B Cd Efgh Bij Ekgh Leemnopqrst U5 Vswx Y Bgz

Scriptsource Entry Phonetic Symbol Guide

B Hadron Crosssection Via Single Muons In Pp

Bg Regulation Of Nitrous Oxide Production In Low Oxygen Waters Off The Coast Of Peru

International Phonetic Alphabet Wikipedia

74aup1g86 Datasheet By Diodes Incorporated Digi Key Electronics

Calameo Adivina

Carbon Based Catalysts For Fischer Tropsch Synthesis Chemical Society Reviews Rsc Publishing

How To Type Letters With Accents On Mac

Evaluating Monin Obukhov Scaling In The Unstable Oceanic Surface Layer In Journal Of Physical Oceanography Volume 51 Issue 3 21

Black Decker Et122 Manual

Osa Single Molecule Orientation Localization Microscopy Ii A Performance Comparison

List Of Unicode Characters Wikipedia

Magneto Mechanically Actuated Microstructures To Efficiently Prevent Bacterial Biofilm Formation Scientific Reports

Polymers Free Full Text Polymer Microchannel And Micromold Surface Polishing For Rapid Low Quantity Polydimethylsiloxane And Thermoplastic Microfluidic Device Fabrication Html

B Hadron Crosssection Via Single Muons In Pp

Altgr Key Wikipedia

Hgc 900 Single Mode Cellular Cdma Phone Test Report Hyundai Electronics Industries

870 0 Series Datasheet By Crouzet Digi Key Electronics

Dc Pandey Electricity Magnetism Solutions By Sj Issuu

Altgr Key Wikipedia

B Hadron Crosssection Via Single Muons In Pp

Connecting Extracellular Metabolomic Measurements To Intracellular Flux States In Yeast Bmc Systems Biology Full Text

Mdn By Merdeka Daily News 自由日报 Issuu

Evaluating Monin Obukhov Scaling In The Unstable Oceanic Surface Layer In Journal Of Physical Oceanography Volume 51 Issue 3 21

Transformation Of Co 3 O 4 Nanoparticles To Coo Monitored By In Situ Tem And Predicted Ferromagnetism At The Co 3 O 4 Coo Interface From First Princi Journal Of

Scrabble Letter Distributions Wikipedia

0 Lmn Lo L Pq R L Stu V W Xy Z 1 A B Cd Efgh Bij Ekgh Leemnopqrst U5 Vswx Y Bgz

Solucionario De Fluidos White

Pdf Chapter 4 Bullet Differential Relations For A Fluid Particle Morteza Nemati Academia Edu

A8xzbeeq0kzqfm

Outstanding Heat Loss Via Nano Octahedra Above Nm In Size From Wustite Rich Nanoparticles To Magnetite Single Crystals Nanoscale Rsc Publishing

ប រវត ត ស ស ត រកម ព ជ ន ងវរជនខ ម រ By Mekongpost Info Issuu

B Hadron Crosssection Via Single Muons In Pp

Acp How Asian Aerosols Impact Regional Surface Temperatures Across The Globe

133 3404 00x Drawing Datasheet By Cinch Connectivity Solutions Johnson Digi Key Electronics

Online Presentation

Land Free Full Text Effects Of Land Use Change On Soil Functionality And Biodiversity Toward Sustainable Planning Of New Vineyards Html

Emi Filtered Connectors Catalog Datasheet By Api Technologies Corp Digi Key Electronics

Materials Free Full Text Tribological Investigations On Tool Surfaces For Temperature Supported Forming Of Magnesium Az31 Sheets Html

Electric Field Potential Energy Electrostatic Fields Electromagneti Potential Energy Electric Field Energy

Methods To Achieve Fast Accurate And Mechanically Robust Optical Breadboard Alignment

13 196 Harry Cui

Gogh ƒ U A ƒcƒjhoh Oy Eae Dg S Eo10 O ª Adg 6564 Oo C Dg Pdf Document

Type Inference For C Applications To The Static Analysis Of Incomplete Programs

B Hadron Crosssection Via Single Muons In Pp

The Klebsiella Pneumoniae O12 Atp Binding Cassette Abc Transporter Recognizes The Terminal Residue Of Its O Antigen Polysaccharide Substrate Journal Of Biological Chemistry

Osa Single Molecule Orientation Localization Microscopy Ii A Performance Comparison

Magneto Mechanically Actuated Microstructures To Efficiently Prevent Bacterial Biofilm Formation Scientific Reports

Evaluating Monin Obukhov Scaling In The Unstable Oceanic Surface Layer In Journal Of Physical Oceanography Volume 51 Issue 3 21

Combo D Catalog Datasheet By Itt Cannon Llc Digi Key Electronics