人気の新しい最高の壁紙無料ABHD

Neel Al Quraan Vol 2 Free Download Borrow And Streaming Internet Archive

Epidemiological And Clinical Characteristics Of 99 Cases Of 19 Novel Coronavirus Pneumonia In Wuhan China A Descriptive Study The Lancet

German Language Alphabets And Pronunciation

Over 185 Pages Of No Prep Activities For S Z S Blends Prevocalic R Vocalic R R Blends L L Thanksgiving Activities Prepping Articulation

Jt Mcelroy 103 Odessa American Home

A P R O X I M A T N L G H S F E U C D I S C R E T A P L D M A H M 1 Ppt Download

Borough Of Hamilton Ww1 Honour Roll Western District Families

Frenkel Poole Trap Energy Extraction Of Atomic Layer Deposited Al2o3 And Hfxalyo Thin Films Applied Physics Letters Vol 91 No 11

Ojt Certificate Central Azucarera Don Pedro Inc

V Ftv V Vv Ir Fo A V Rl V Pb Coa Statement Of Fr F R G V I A Vttp Wm Ln Octarmn Lw Ctr Vv O V T Tk Jt F Y Jrl T Fix Wcl Ii Rcl Bt Ikhal C Lb

Deals For Baublebar Pave Initial Pisa Bracelet In Metallic Gold Size P Also In D F G I J T V

A Hierarchical Concept Of Ecosystems Mpb 23 Volume 23 Princeton University Press

Don T Trust What You See On R Covidvaccinated

Fifth Assessment Report Synthesis Report By Ipcc Issuu

A Manual Of Zoology J U G Quot W 5 E Cj1 To 1 A Quot 3 M 2 3 A P Ij R Gt C R 7 Quot C M Rt B J K E E C

Papers Past Newspapers Horowhenua Chronicle 6 November 1917 District Roll Of Honor

E I6frf Lj 4sf O Qm Fi6 ª 3lo Dxf Lgwsf Sfof Gjog Cj Yf Ppt Download

Page 15 Mccormick International Harvester Collection Wisconsin Historical Society Online Collections

Escrow Library Corner Escrow

5fhs 8 Gfdo Ujl V6 F Vdp L

Ojt Recommendation Letter 11

Fda Advises Pausing J J Covid Vaccine After Blood Clotting Issue Affects 6 Women Kills 1

Module5journal

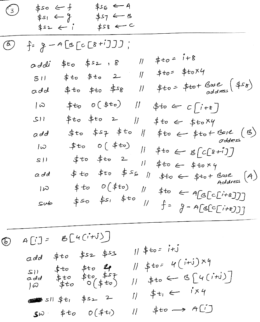
Solved 3 Assume Variables G Assigned Registers S1 5s2 Respectively Assume Base Address Arrays B C Q

Pdf Barnacle Invasions Introduced Cryptogenic And Range Expanding Cirripedia Of North And South America

Simple Solutions Of Relativistic Hydrodynamics For Longitudinally And Cylindrically Expanding Systems Topic Of Research Paper In Physical Sciences Download Scholarly Article Pdf And Read For Free On Cyberleninka Open Science Hub

Papers Past Newspapers Nelson Evening Mail 25 May 1876 Page 1 Advertisements Column 4

L J 7 Fg Vg 8sgm Mhl Wmz

Solved 1 40 Points Consider The Linear Motor In The Fi Chegg Com

Solved A Continuous Time Signal X T Has Fourier Transfor Chegg Com

Solved A Vector Function Satisfying V T V F T F T F Chegg Com

Society Officers Ann Arbor District Library

Su Carburettor Wikipedia

Ojt Certificate Central Azucarera Don Pedro Inc

Jeff Roesgen Senior Program Director Clinical Operations The University Of Kansas Cancer Center Linkedin

Irish Rugby Football Union Ireland V Wales Five Nations Landsdowne Road Dublin Ireland Saturday 13th March 1954 13 3 1954 3 13 1954 Irish Photo Archive

Joint Task Force Olympics Jtf O Commanding General Challengecointrader Llc

Four To Score A Fast Paced No Prep Game For Articulation Practice Pages For F V Th T Articulation Activities Speech Language Pathologists Slp Activities

Joint Task Force Olympics Jtf O Commanding General Challengecointrader Llc

Observatory Scientix

Frontiers Spatiotemporal Heterogeneity Of Chlorophyll Content And Fluorescence Response Within Rice Oryza Sativa L Canopies Under Different Nitrogen Treatments Plant Science

Assignment 4 Apr 10 Pdf Sa4 9 Name Molecule Dot Structure F Cl O P O Ii O 4 2 Tr T L T 7 E F 0 O I E S F E F Course Hero

Manly Palmer Hall Collection Of Alchemical Manuscripts 1500 15 Vojlc V Tm Vvvkt Ctvc Vt V Vtr F Igc V Wtc T I X F T Gt Jx4 Vjoivtf T F Ft F7 C W Oh Ilyia J T J Vt Gt 6t I N T D I Of C I I Ic Ii Tttd E I V Epo

Letter Formation The Ot Toolbox

The Tangent Plane At A Point Po F Uo Vo 9 Uo Vo Chegg Com

Bmw Oem Factory Front T17 Rear T45 Sprockets Regina 525 Chain Long Ebay

A Matched Case Control Study Identifies Activities Of Daily Living Associated With Acquisition Of Melioidosis In Northeast Thailand Topic Of Research Paper In Health Sciences Download Scholarly Article Pdf And Read For

Stratified Reconstruction Of Ancestral Escherichia Coli Diversification Bmc Genomics Full Text

Nov1951 By Trinity College Digital Repository Issuu

For The Rpr Manipulator 1 Derive The O Where Chegg Com

12 References Shodhganga

The South Carolina Historical And Genealogical Magazine O Oj F Ioa 3 K Ooo3co S Ct Gt Or Im Pu Gt 5 Irs Hj P 1 71 H Gt 1 5 Hs P C 2 H H S P H 1 5 H Eh 1 5 M I J Oh Hj

Antipodal Radio Labelling Of Full Binary Trees Springerlink

Mofs Modeling And Theory General Discussion Faraday Discussions Rsc Publishing

1987 19 Directory Of Oklahoma Part 1 Pages I 222 148 Oklahoma Almanacs Oklahoma Digital Prairie Documents Images And Information

14 Vector Functions Vector Functions 14 3 Arc

Clipping From Harper Sentinel Newspapers Com

Pdf Exploring The Importance Of Employable Skills As Perceived By Ojt Engineering Students And Industry Partners

Al Yawaqit Wa Al Jawahir Fi Uqubah Ahl Al Kabair Muhammad Ali Bin Abdul Rasyid Al Sambawi Free Download Borrow And Streaming Internet Archive

Solved Let F V X Y And Let C Be The Path In The Xy Plan Chegg Com

A Cv Of Ptm C8 Sh On Au 111 In Se 3 Tf 2 N Et 3 N 15 1 V V Download Scientific Diagram

Guantanamo Bay Detention Camp Wikipedia

Weed Technology Volume 11 Subject Index Weed Technology Cambridge Core

Buy New Tamron Lenses Authorized Tamron Dealers

1 Vytah

Advanced Geography Lt Y Re Are Other Belts Neither So Hot Nor So Cold Un Either My C Tical Rays Shine South Or F C V Side Of The

State News Carrollton Ark Newspapers Com

A Hierarchical Concept Of Ecosystems Mpb 23 Volume 23 Princeton University Press