人気の新しい最高の壁紙無料ABHD

Sms Length Calculator And Text Message Segment Counter

List Of Unicode Characters Wikipedia

Pdf Gender And Person Agreement In Cicipu Discourse Semantic Scholar

Ascii Code

I I 9 I I Passwordsync

Dynamical Structures In A Low Thrust Multi Body Model With Applications To Trajectory Design Springerlink

Pycse Python3 Computations In Science And Engineering

Best Condensed Fonts Of Fonts Graphic Design Junction

Jyryd Papjujqm

Typemates Pensum Display

Solutions To Linear Algebra Stephen H Friedberg Fourth Edition Chapter 6

A New Approach To Covert Communication Via Pdf Files Sciencedirect

Queental Font By Stringlabs Creative Fabrica

Altgr Key Wikipedia

What Is Wrong With The Following Code And What Will Be The Rectified Version Of This Code Wyzant Ask An Expert

Simulating Survival Data With Predefined Censoring Rates For Proportional Hazards Models Wan 17 Statistics In Medicine Wiley Online Library

Realism Philosophy Of Education

Mojibake Wikipedia

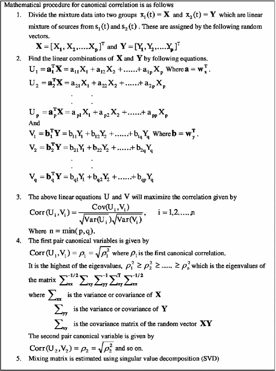
Performance Analysis Of Blind Source Separation Using Canonical Correlation Springerlink

I I 9 I I Passwordsync

How To Solve Unicode Encoding Issues

Vertex Form Of A Quadratic Function Y A X H 2 K The Vertex Form Of A Quadratic Function Is Given By F X A X H 2

Part I A A A An Introduction To Partial Differential Equations

Solutions Manual For Calculus For Business Economics And The Social A

Mathematics For The Ib Diploma Analysis And Approaches Sl Draft Copy By Hodder Education Issuu

Solved Can You Please Only Do Problem 3 And Show Work Ste Chegg Com

Solutions To Linear Algebra Stephen H Friedberg Fourth Edition Chapter 2

Curve Fitting And Solution Of Equation

Theory Of Relativity Spacetime Art Print By Theduc Redbubble

X Ss H L U N 3 K µ R E R µ I M S 3 U R M A U Y A 8 U Y D Ae X Ss H Pdf Document

Solved Find The Directional Derivative Of The Function At Chegg Com

Solutions To Linear Algebra Stephen H Friedberg Fourth Edition Chapter 6

Vba Chr Mapping Of Characters With Their Ascii Values

Designing A Font From Scratch And Submitting It To Google Fonts In 24 Hours

Vertex Form Of A Quadratic Function Y A X H 2 K The Vertex Form Of A Quadratic Function Is Given By F X A X H 2

Altgr Key Wikipedia

Mojibake Wikipedia

X Ss H L U N 3 K µ R E R µ I M S 3 U R M A U Y A 8 U Y D Ae X Ss H Pdf Document

Regis Typeface Type Company

Syabil 18 Sans Serif Font Sans Serif Fonts Sans Serif San

I I 9 I I Passwordsync

Solved Problem 2 Eigenvalues And Eigenvectors A If R Chegg Com

H Wiktionary

Pragmatapro Coding Font Designed By Fabrizio Schiavi

A Delightful Site For Writers And Lovers Of Words And Language It Is All About The Number Zero Its Place In The History Philosophy And World Literatures We Have Heard Of Calling Someone A Total Zero As An Insult But What Does Zero Really Mean This

Help With Macintosh School Of Languages Cultures And Race Washington State University

Windows 1252 Wikipedia

Glyph Map Cyntho Slab Pro Black Mint Type

Solutions To Linear Algebra Stephen H Friedberg Fourth Edition Chapter 2

Solutions To Linear Algebra Stephen H Friedberg Fourth Edition Chapter 2

Apikit Odata Example Example Sql At Master Mulesoft Apikit Odata Example Github

Vekta Serif Bold Italic Font Youworkforthem

Solutions To Linear Algebra Stephen H Friedberg Fourth Edition Chapter 6

Klradmpkdog Im

A Delightful Site For Writers And Lovers Of Words And Language It Is All About The Number Zero Its Place In The History Philosophy And World Literatures We Have Heard Of Calling Someone A Total Zero As An Insult But What Does Zero Really Mean This

How To Add Bullet Points To Text In Adobe Illustrator Astute Graphics

I I 9 I I Passwordsync

Gimlet Character Set David Jonathan Ross

Differentiating Related Functions Intro Video Khan Academy

French Numbers Counting In French Lawless French Numbers

Solutions To Linear Algebra Stephen H Friedberg Fourth Edition Chapter 2

I I 9 I I Passwordsync

Worked Example Differentiating Related Functions Video Khan Academy

Pycse Python3 Computations In Science And Engineering

Getting Started Getting Started With Fontcreator

Gimlet Character Set David Jonathan Ross

Coquette Bold Glyphs Coquette Glyphs Bold Fonts

Olaugh Family Font By Rifki 7ntypes Creative Fabrica

Comfortaa Font All Free Fonts

Multifractional Levy Motions

Coo Euo O D O Ooi Ooyo O I Yd D O Oo Onooo N I E Oo Ydu O Eo O Io U O Oy Io U O Oye O E

Free Syabil Demo Sans Serif Font Sans Serif Fonts Serif Fonts Fonts

Solved 1 Consider The System X Ay 4 Ax 9y B A Fo Chegg Com

Adding Versicle Response Signs U 2123 U 211f Issue 17 Psb1558 Elstob Font Github

Alt Codes How To Type Special Characters And Keyboard Symbols On Windows Using The Alt Keys

Altgr Key Wikipedia