人気の新しい最高の壁紙無料ABHD

Complex Number Wikipedia

Let A Be A 3xx3 Matrix Given By A A Ij If For Every Column Vector X X T Ax O And Youtube

Amortization With Fewer Equations For Proving Knowledge Of Small Secrets Springerlink

Papers Past Newspapers Inangahua Times 5 August 1878 Page 1 Advertisements Column 3

Assessment Of Patient Safety Management From Human Factors Perspective A Fuzzy Topsis Approach Wang 15 Human Factors And Ergonomics In Manufacturing Amp Service Industries Wiley Online Library

Fish Oils And Omega 3 Oils Benefits Foods And Risks

Papers Past Newspapers Colonist 24 December 1919 Page 3 Advertisements Column 3

Tic Tac Toe Wikipedia

Antipodal Radio Labelling Of Full Binary Trees Springerlink

Selective End To End Data Sharing In The Cloud Springerlink

A Lottery Model For Center Type Problems With Outliers

Love Moon Standard Uppercase And Lowercase Letters Ligature Lowercase A

O Hay Gi Thế Nay Tập 4 Full Hd Trường Giang Hết Hồn Khi Nghe Ly Nha Kỳ Tiết Lộ Bi Quyết để đẹp Youtube

Vietnamese Language Wikipedia

If 3 And 4 Are Intercepts Of A Line L 0 Then The Distance Of L 0 From The Origin Is Youtube

Page 192 Canoae O Ok Cdr

Enhancing Code Based Zero Knowledge Proofs Using Rank Metric Springerlink

Towards A More General Many Objective Evolutionary Optimizer Springerlink

Co Rads A Categorical Ct Assessment Scheme For Patients Suspected Of Having Covid 19 Definition And Evaluation Radiology

New Similarity Function For Scientific Articles Clustering Based On The Bibliographic References

Yry 0kqxoe8qum

Bismuth Wikipedia

O Hay Gi Thế Nay Tập 3 Full Hd Chi Pu Le Giang Hari Won Phấn Khich Hat Live Bằng Giọng đan Ong Youtube

If Vec A Sqrt 2 Vec B 7 And Vec A Xx Vec B 2 Hat I 6 Hat J 3 Hat K Youtube

Pd Acac Pr3 Phcn Bf4 And Pd Acac S 2 Bf4 R Phenyl 2 Methoxyphenyl S Benzonitrile Pyridine Synthesis Characterization Reactivity And Catalytic Behavior Crystal Structure Of Pd K2 O O Acac K1 C Acac P 2 Meoc6h4 3 Journal Of

Providing Task Allocation And Secure Deduplication For Mobile Crowdsensing Via Fog Computing

J Edgar Hoover Wikipedia

A Simple Method For Construction Of Bi2o3 Bi6o6 Oh 3 No3 3 1 5h2o P N Junction Photocatalyst With Superior Photocatalytic Performance Materials Letters X Mol

Co Rads A Categorical Ct Assessment Scheme For Patients Suspected Of Having Covid 19 Definition And Evaluation Radiology

Papers Past Newspapers Colonist 7 April 17 Page 2 Advertisements Column 3

C Span Org National Politics History Nonfiction Books

Perfect Number Wikipedia

Worked Example Finding Unit Vector With Given Direction Video Khan Academy

Network Embedding By Resource Allocation For Link Prediction Springerlink

1939 Southern Recording Trip Fieldnotes Library Of Congress

J Balvin Negro Official Live Performance Vevo Youtube

Papers Past Newspapers Wanganui Herald 31 December 16 Page 3 Advertisements Column 4

Dioxo Fluoroalkoxide Tungsten Vi Complexes For Growth Of Wox Thin Films By Aerosol Assisted Chemical Vapor Deposition Inorganic Chemistry X Mol

Maliciously Secure Matrix Multiplication With Applications To Private Deep Learning Springerlink

Wku Tennessee State Softball Box 2 17 18 Bgdailynews Com

Qms Dp Drawing Datasheet By Samtec Inc Digi Key Electronics

John Wick Chapter 3 Parabellum 19 Movie New Trailer Keanu Reeves Halle Berry Youtube

Papers Past Newspapers Feilding Star 21 November 15 Page 1 Advertisements Column 3

Buy A Raspberry Pi 3 Model B Raspberry Pi

Sean Paul J Balvin Contra La Pared Youtube

Image 21 Of Greek Manuscripts 1750 Logoi Vol Ii Library Of Congress

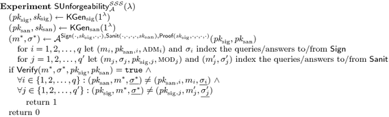
Stronger Security For Sanitizable Signatures Springerlink

J Balvin Dua Lipa Bad Bunny Tainy Un Dia One Day Youtube

About Adult Bmi Healthy Weight Nutrition And Physical Activity Cdc

Public Health Bulletin 2 St Ji O G N3 O 3 Ot S A S S O I5 D O O C 42 T3 O Q Hi

Minutes Of The Meetings Of The Judicial Commission Of The International Committee On Bacteriological Nomenclature Held At Stockholm In Connection With The Vii International Congress For Microbiology August 4 9 1958 Microbiology Society

Epidemiological And Clinical Characteristics Of 99 Cases Of 19 Novel Coronavirus Pneumonia In Wuhan China A Descriptive Study The Lancet

Public Documents Of The State Of North Carolina Serial Fl 33 O 3 Ire S E J 0 M If T No 3

Papers Past Newspapers Evening Post 17 June 1902 Page 8 Advertisements Column 6

J Cole Middle Child Youtube

Anonymity And Rewards In Peer Rating Systems Springerlink

Binary Coded Decimal Wikipedia

Growth Of Bi2o3 Films By Thermal And Plasma Enhanced Atomic Layer Deposition Monitored With Real Time Spectroscopic Ellipsometry For Photocatalytic Water Splitting Acs Applied Energy Materials X Mol

2ki I 2 22hno 3 Rarr2hio 3 2kio 3 22no 2 10h 2 O If 3 Mole Of Ki 2 Youtube

Latin Script Wikipedia

O Fallon Mo Police Ofallonpolice Twitter

Facile Synthesis Of Bimetallic In Ga 2 O S 3 Oxy Sulfide Nanoflower And Its Enhanced Photocatalytic Activity For Reduction Of Cr Vi Journal Of Colloid And Interface Science X Mol

Soft Extreme Learning Machine For Fault Detection Of Aircraft Engine Sciencedirect

Entity Resolution With Recursive Blocking Sciencedirect

Simultaneous Improvement Of Piezoelectric And Magnetic Properties In Diamagnetic Ion Modified Bifeo3 Film Journal Of Alloys And Compounds X Mol

Papers Past Newspapers New Zealand Herald 28 December 1870 Page 3 Advertisements Column 2

On The Fly Model Checking For Extended Action Based Probabilistic Operators Springerlink

Blood Type Wikipedia

Genomic Characterisation And Epidemiology Of 19 Novel Coronavirus Implications For Virus Origins And Receptor Binding The Lancet

Papers Past Newspapers Taranaki Herald 9 December 16 Page 4 Advertisements Column 5

Fast And Exact Algorithms For Some Np Hard 2 Clustering Problems In The One Dimensional Case Springerlink

Preparation Of Surface Anion Imprinted Polymer By Developing A La Iii Coordinated 3 Methacryloxyethyl Propyl Bi Functionalized Graphene Oxide For Phosphate Removal Journal Of The Taiwan Institute Of Chemical Engineers X Mol

Combinatorial Virtual Library Screening Analysis Of Antithrombin Binding Oligosaccharide Motif Generation By Heparan Sulfate 3 O Sulfotransferase 1 Computational And Structural Biotechnology Journal X Mol

Neural Model Extraction For Model Based Control Of A Neural Network Forward Model Springerlink

Japan To Consider New Covid 19 Emergency Declaration Voice Of Nigeria

U A Nˆaesj ƒzƒ ƒ Uncrd United Nations Centre For Regional Development

International Phonetic Alphabet Wikipedia

Quaternion Wikipedia