人気の新しい最高の壁紙無料ABHD

Structural Determination Of Bilayer Graphene On Sic 0001 Using Synchrotron Radiation Photoelectron Diffraction Scientific Reports

Synthesis And Characterization Of Cu Bpe Ddc Bpe 1 2 Bis 4 Pyridyl Ethane H2ddc 1 10 Decanedicarboxylic Acid Sciencedirect

Fluorinated Mof Platform For Selective Removal And Sensing Of So 2 From Flue Gas And Air Nature Communications

Energies Free Full Text A New Analytical Wake Model For Yawed Wind Turbines Html

Comicwave Fuente Por Mozyenstudio Creative Fabrica

Structure Of The Sars Cov 2 Spike Receptor Binding Domain Bound To The Ace2 Receptor Nature

Energies Free Full Text A New Analytical Wake Model For Yawed Wind Turbines Html

Estudio Computacional Del Rearreglo Sigmatropico 1 3 De La Z 3 4 Dimetilamino Benciliden Tiocroman 4 Ona

Structural Basis Of Cullin 2 Ring Ligase Regulation By The Cop9 Signalosome Nature Communications

Simulations Of Solar Filament Fine Structures And Their Counterstreaming Flows Nature Astronomy

Materials Free Full Text Fingerprints Of Sp1 Hybridized C In The Near Edge X Ray Absorption Spectra Of Surface Grown Materials Html

Materials Free Full Text Fingerprints Of Sp1 Hybridized C In The Near Edge X Ray Absorption Spectra Of Surface Grown Materials Html

Implications For Tetraspanin Enriched Microdomain Assembly Based On Structures Of Cd9 With Ewi F Life Science Alliance

Http News Timeanywhere Com News Nk Bin Any Run Free Malware Sandbox Online

Show That The Four Points A B Ca N Dd With Position Vecto

Unravelling The Intricate Photophysical Behavior Of 3 Pyridin 2 Yl Triimidazotriazine Aie And Rtp Polymorphs Chemical Science Rsc Publishing Doi 10 1039 D0scg

Golden Bitcoin Digital Currency Background Illustration Megapixl

Ejercicios Tema 3 1 Estructura Cristalina

The Curie Temperature Of Nd X Y 3 A X Fe 5 O 12 Found From Thermomagnetic Download Scientific Diagram

A Wikipedia

Solution Structures Of Complement C2 And Its C4 Complexes Propose Pathway Specific Mechanisms For Control And Activation Of The Complement Proconvertases Journal Of Biological Chemistry

Preparation Of A Magnetic Metal Organic Square And Metal Organic Cubes Using 4 5 Bis 2 Imidazolinyl Imidazolate Slow Magnetization Relaxation Behavior In Mixed Valent Octamanganese Ii Iii Clusters Dalton Transactions Rsc Publishing

Inegalites De Sobolev Logarithmiques Et Hypercontractivite En Mecanique Statistique Et En E D P

Ch4 Dissociation And Cc Coupling On Mo Terminated Moc Surfaces A Dft Study Sciencedirect

Preparation Of A Magnetic Metal Organic Square And Metal Organic Cubes Using 4 5 Bis 2 Imidazolinyl Imidazolate Slow Magnetization Relaxation Behavior In Mixed Valent Octamanganese Ii Iii Clusters Dalton Transactions Rsc Publishing

Los Arces En Mama Santuario Tekona Vinculados Y Puente Imprimir Muestra Una Vista De Pajaro A Traves De Arces Del Santuario Tekona Con Edificios Con Techo De Paja De Una Arboleda Con

Baltichian

Energies Free Full Text A New Analytical Wake Model For Yawed Wind Turbines Html

Solid State Characterization And Theoretical Study Of Non Linear Optical Properties Of A Fluoro N Acylhydrazide Derivative

Ex 11 3 6 Find Equation Of Planes That Passes Through 3 Points

Pdf Synthesis Of Phenols From Hydroxymethylfurfural Hmf Semantic Scholar

Preparation Of A Magnetic Metal Organic Square And Metal Organic Cubes Using 4 5 Bis 2 Imidazolinyl Imidazolate Slow Magnetization Relaxation Behavior In Mixed Valent Octamanganese Ii Iii Clusters Dalton Transactions Rsc Publishing

Solid State Characterization And Theoretical Study Of Non Linear Optical Properties Of A Fluoro N Acylhydrazide Derivative

Pdf 5 6 7 8 Tetrahydronaphthalene 1 Carboxylic Acid

An Asymmetric Sheath Controls Flagellar Supercoiling And Motility In The Leptospira Spirochete Elife

Overlay Diagram Of 1 Red Image 2 Green And 3 Blue No Hydrogen Download Scientific Diagram

Biblioteca Virtual Del Principado De Asturias Glorias De Asturias Res Gi C 5 11 Objetos Digitales

Red Light Induced Structure Changes In Phytochrome A From Pisum Sativum Scientific Reports

Crystals Free Full Text Extended Assemblies Of Ru Bpy Co 2x2 X Cl Br I Molecules Linked By 1 4 Diiodotetrafluoro Benzene Ditfb Halogen Bond Donors Html

Aromatic Alkyne Insertion Into Six Membered Cyclometalated Pyridine Complexes Of Iridium Different Insertion Modes And Structurally Novel Products Rsc Advances Rsc Publishing Doi 10 1039 C7rae

Sintesis Microquimica Y Microelectroquimica De Acetato De Cobre Ii A Partir De Vinagre Un Ejemplo De Quimica Verde

Synthesis Crystal Structures And Thermal And Spectroscopic Properties Of Two Cd Ii Metal Organic Frameworks With A Versatile Ligand

A Wikipedia

Molecules Free Full Text Application Of Docking Analysis In The Prediction And Biological Evaluation Of The Lipoxygenase Inhibitory Action Of Thiazolyl Derivatives Of Mycophenolic Acid Html

Ex 11 2 5 Find Equation Of Line In Vector Cartesian Form

Multi Particle Cryo Em Refinement With M Visualizes Ribosome Antibiotic Complex At 3 7 A Inside Cells Biorxiv

A Ball And Stick Presentation Of The Paddle Wheel Sbu In The Crystal Download Scientific Diagram

Prediction Of Nhc Catalyzed Chemoselective Functionalizations Of Carbonyl Compounds A General Mechanistic Map Chemical Science Rsc Publishing

Empleo De Zeolitas En Procesos De Adsorcion Y Separacion De Hidrocarburos De Cadena Corta

Atomic Coordinates And Displacement Parameters In A 2 Download Scientific Diagram

Example 6 Line Through 5 2 4 Parallel To 3i 2j 8k

Copper Ii Assembling With Bis 2 Pyridylcarbonyl Amidate And N N 2 2 Phenylenebis Oxamate Dalton Transactions Rsc Publishing

Red Light Induced Structure Changes In Phytochrome A From Pisum Sativum Scientific Reports

Ejercicios Tema 3 1 Estructura Cristalina

Rubaroo Vol 11

En Cada Item Se Da El Punto A A B R Y El Radio R Gt 0 Escribe La Ecuacion Cartesiana De La Brainly Lat

Kinetic Reaction Mechanism Of Sinapic Acid Scavenging No2 And Oh Radicals A Theoretical Study

List Of Unicode Characters Wikipedia

Norwegian Language Wikipedia

Sub 2 A Ewald Curvature Corrected Structure Of An v2 Capsid Variant Nature Communications

Frontiers The C Terminal Domains Snrk2 Box And Aba Box Have A Role In Sugarcane Snrk2s Auto Activation And Activity Plant Science

Clinical Course And Risk Factors For Mortality Of Adult Inpatients With Covid 19 In Wuhan China A Retrospective Cohort Study The Lancet

Capitulo 2

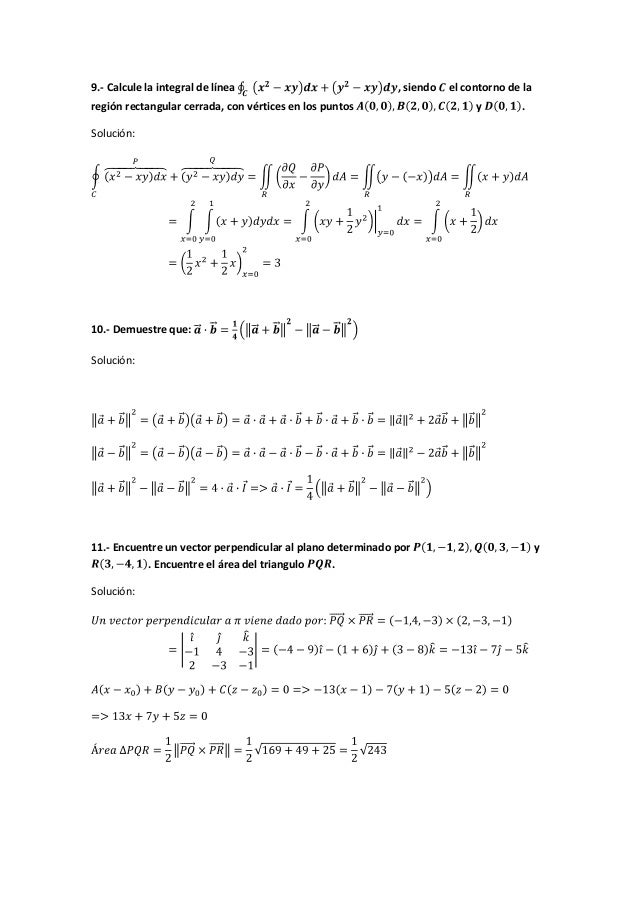
Ejercicios Resueltos Calculo Iii

Angstrom Wikipedia

Ejercicios Tema 3 1 Estructura Cristalina

La Indizacion De Patrones De Difraccion De Electrones Al Alcance De Todos Y Sus Aplicaciones Sistemas Ortogonales Parte I

Como La Respuesta De Un Nino De 7 Anos En Un Ejercicio De Clase Provoco Tal Discusion Que Hasta La Rae Tomo Partido c News Mundo

Al Or F 3 R F C Cf 3 3 Activated Silica A Well Defined Weakly Coordinating Surface Anion Chemical Science Rsc Publishing Doi 10 1039 C9sck

Mechanochromic Fluorescence Based On A Combination Of Acceptor And Bulky Donor Moieties Tuning Emission Color And Regulating Emission Change Directio New Journal Of Chemistry Rsc Publishing Doi 10 1039 C8nja

La Indizacion De Patrones De Difraccion De Electrones Al Alcance De Todos Y Sus Aplicaciones Sistemas Ortogonales Parte I

Molecules Free Full Text Application Of Docking Analysis In The Prediction And Biological Evaluation Of The Lipoxygenase Inhibitory Action Of Thiazolyl Derivatives Of Mycophenolic Acid Html

Pdf A Clinical Study On The Effect Of Nattokinase On Carotid Artery Atherosclerosis And Hyperlipidaemia

Efficient One Pot Synthesis Of Xanthene Triazole Quinoline Phenyl Conjugates And Evaluation Of Their Antimicrobial Activity

Energies Free Full Text A New Analytical Wake Model For Yawed Wind Turbines Html

Act Eight Hachi Danme Ae Aeœ Eªz A A E Saœ Es C A œa Aªa Fachada E E µ A Ae µc E A A A A Aº ˆa C Ae ªa Aˆ Eœ Cµµ 1854 15 16 13 15 16 Series Chushingura Escrito En Kana Prints Woodcuts Color Woodbk Print 8 Aeœ A X Pulg 22 70 X

Energies Free Full Text A New Analytical Wake Model For Yawed Wind Turbines Html

Numerical Details Of The Solution And Refinement Of The Crystal Download Table

Morphology Of A Columnar Stack Of Coronene Molecules Encapsulated In A Single Walled Carbon Nanotube Aip Advances Vol 5 No 11

Al Or F 3 R F C Cf 3 3 Activated Silica A Well Defined Weakly Coordinating Surface Anion Chemical Science Rsc Publishing Doi 10 1039 C9sck