人気の新しい最高の壁紙無料ABHD

1928 Gem Of The Mountains Volume 26 University Of Idaho Yearbook By University Of Idaho Library Issuu

Firedrake

Effective Containment Explains Subexponential Growth In Recent Confirmed Covid 19 Cases In China Science

Sars Cov 2 Orf6 Hijacks Nup98 To Block Stat Nuclear Import And Antagonize Interferon Signaling Pnas

Type Special Characters With A Chromebook Accents Symbols Em Dashes

Mr Elastography John B Weaver Ppt Download

Beta Distribution Wikipedia

Supersymmetric Proton Decay Revisited Springerlink

Let X1 Xd Lid N M B And A B Be Their Respectiv Chegg Com

Frontiers Heteromerization Modulates Mu Opioid Receptor Functional Properties In Vivo Pharmacology

Find E Hatb And Var Hatb In Simple Linear Regression Model Yi A Bxi Mi For I 1 N Cross Validated

Different Tail Regimes In The Cpt Model In The L µ Plane For The Download Scientific Diagram

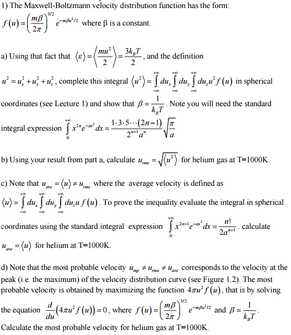
Solved The Maxwell Boltzmann Velocity Distribution Functi Chegg Com

Stable Distribution Wikipedia

Chebyshev S Inequality Wikipedia

Applied Sciences Free Full Text Optical Soliton Solutions Of The Cubic Quartic Nonlinear Schrodinger And Resonant Nonlinear Schrodinger Equation With The Parabolic Law Html

Solved D For The Test Procedure Of Part C What Is B Chegg Com

The Greek Alphabet

Solved Consider The Statistical Model Vijk M Ti B Chegg Com

Eco4y1 Textbook Notes Fall 17 Chapter 2 Convex Preferences Utility Weighted Arithmetic Mean

Effect Of I H Of The Variation Of µm The Other Parameters Are B H Download Scientific Diagram

Transport 2 Worksheet

Searching For New Phenomena With Profile Likelihood Ratio Tests Nature Reviews Physics

Solved A Plane Wave Propagating Through A Medium With Eps Chegg Com

Approximation Of Surface Diffusion Flow A Second Order Variational Cahn Hilliard Model With Degenerate Mobilities Deepai

Dissecting The Roles Of Grk2 And Grk3 In M Opioid Receptor Internalization And B Arrestin2 Recruitment Using Crispr Cas9 Edited Hek293 Cells Scientific Reports

Color Online The Ratio S X I S Z I In The Case Of µ 0 2t And L Download Scientific Diagram

Pattern Recognition And Machine Learning Chapter 2 Probability Distributions July Chonbuk National University Ppt Download

I M Having Problems With Plotting Graphs Of System Of Equatiosn With Control Using Gauss Siedel Iterative Scheme I Want To Plot Graphs For The Costate Variables And Control Function Mapleprimes

Ygopro Drytron Xyz Mu Beta Fafnir Deck 21 Youtube

Solution Of System 5 For The Initial Value S 0 I 0 0 45 Download Scientific Diagram

Growth Cell Dry Weight Extracellular E And Intracellular I B Download Scientific Diagram

Decrease In Conversion Rate Of Download Scientific Diagram

With The Help Of A Suitable Ray Diagram Derive A Relation Between The Object Distance U Image Distance V And Radius Of Curvature R For A Convex Spherical Surface When A Ray

Fig 2 Both Relative Insulin Resistance And Defective Islet B Cell Processing Of Proinsulin Are Responsible For Transient Hyperglycemia In Extremely Preterm Infants American Academy Of Pediatrics

Come Follow Me For Primary February Week 4 February 17 23 2 Nephi 11 25 We Rejoice In Christ Printable Lesson Packet Lds Primary Lesson Helps Lds Primary Lessons Primary Lessons

Bias Of An Estimator Wikipedia

2 Minute Ways To Keep Mindful And Calm Mindfulness Art Therapy Activities Mindfulness Activities

Beta Distribution Wikipedia

Applied Sciences Free Full Text Optical Soliton Solutions Of The Cubic Quartic Nonlinear Schrodinger And Resonant Nonlinear Schrodinger Equation With The Parabolic Law Html

Solved Match The Following Terms Used In The Class To The Chegg Com

Beta Distribution Wikipedia

Linear Resistivity And Sachdev Ye Kitaev Syk Spin Liquid Behavior In A Quantum Critical Metal With Spin 1 2 Fermions Pnas

How To Insert Micro Sign Or Mu Symbol In Word Microsoft Word 365

Gematria Key For Greek And Hebrew Greek Alphabet Greek Key

Beta Binomial Distribution Wikipedia

Large Print Word Search Volume 2

Triqs Cthyb A Continuous Time Quantum Monte Carlo Hybridisation Expansion Solver For Quantum Impurity Problems Sciencedirect

The Soliton Solution Curve Of U X Y N For M 0 05 I P 0 5 Download Scientific Diagram

Method For Multispectral Images Denoising Based On Tensor Singular Value Decomposition

The Poisson Operator For Orthogonal Polynomials In The Multidimensional Ball Springerlink

Q T Sin Alpha Sin Beta A And Cos Alpha Cos Beta B

Pdf Planetary Companions In K Giants B Cancri M Leonis And B Ursae Minoris Semantic Scholar

Math 4163 Homework 8 9 Due On Thu Dec 6 In Class

Gestational Trophoblastic Disease Gtd Part I Molar Pregnancy

5 Examples Of Solutions To 1 2 Equation Along The Localized Branch Download Scientific Diagram

The Soliton Solution Of U X Y N For M 0 05 I P 0 5 L Download Scientific Diagram

Topic 28 Unequal Replication In Two Way Anova Outline Two Way Anova With Unequal Numbers Of Observations In The Cells Data And Model Regression Approach Ppt Download

Made With Mu A Blog To Celebrate Projects That Use The Mu Python Code Editor To Create Cool Stuff

Nested Designs

Sars Cov 2 Nsp12 Attenuates Type I Interferon Production By Inhibiting Irf3 Nuclear Translocation Cellular Molecular Immunology

Lhcb Large Hadron Collider Beauty Experiment

Generalized Linear Model Glm H2o 3 32 1 2 Documentation

Seir Functions Odesolver Hierhcy Import Numpy As N Chegg Com

Bias Of An Estimator Wikipedia

American Football Word Search Volume 2 Large Print Puzzle Book For Adults And Seniors Books Run Pass Option Amazon Com Books

Plots Of The Set I 0 T I S Dthfor B M 3 412 Left Picture B Download Scientific Diagram

Applied Sciences Free Full Text Optical Soliton Solutions Of The Cubic Quartic Nonlinear Schrodinger And Resonant Nonlinear Schrodinger Equation With The Parabolic Law Html

Solved Consider A Normal Random Sample From Population N Chegg Com

Solved Answer All Otherwise I Will Give 2 Dislikes If I W Chegg Com

Normal Distribution Gaussian Normal Random Variables Pdf

Made With Mu A Blog To Celebrate Projects That Use The Mu Python Code Editor To Create Cool Stuff

Easy And Flexible Bayesian Inference Of Quantitative Genetic Parameters

Made With Mu A Blog To Celebrate Projects That Use The Mu Python Code Editor To Create Cool Stuff

Statistical Science 9544a Longitudinal Data Ppt Download

Chebyshev S Inequality Wikipedia

Let F N In L P X Mathbb X Mu 1 Leq P Infty And Let Beta N Defined For E In Mathbb X By Mathematics Stack Exchange

Bryanroth If Someone Asks For Pharmacology On U 47 770 It Can Be Found Here In A Nice J Med Chem Article Typical Mu Agonist T Co Isa0airxwg

Solved Determine The Values Of Beta Mu Mu And N Ted Fo Chegg Com

Download Word Search On 2 Broke Girls

Logistic Distribution Wikipedia

Solved Consider The Multiple Linear Regression Model Y Chegg Com

Consider The Partial Differential Equation U T Mu Chegg Com

Applied Sciences Free Full Text Optical Soliton Solutions Of The Cubic Quartic Nonlinear Schrodinger And Resonant Nonlinear Schrodinger Equation With The Parabolic Law Html

500 Word Search Puzzle 6x9 Inch Volume 2 Graphic By Seven Elephant Creative Fabrica

Epistula Joebob Graphics

Activation And Evasion Of Type I Interferon Responses By Sars Cov 2 Nature Communications

E Z Ae E Oe I U Zq D E E Ss A E Download Scientific Diagram

Laplace Distribution Wikipedia

Triple Combination Of Interferon Beta 1b Lopinavir Ritonavir And Ribavirin In The Treatment Of Patients Admitted To Hospital With Covid 19 An Open Label Randomised Phase 2 Trial The Lancet

Superstring Inspired Particle Cosmology Inflation Neutrino Masses Leptogenesis Dark Matter The Susy Scale Cern Document Server

Hello I Seek To Run The Following C Code Which I Chegg Com

Whitelaw And Crowder New Business Newspapers Com

Resonant Excitation And All Optical Switching Of Femtosecond Soliton Molecules Nature Photonics