人気の新しい最高の壁紙無料ABHD

Solved 58 2 42 Am Ee305 F12 Tut2 Read Only Read Only You Can T Save 2 Answers Transtutors

The Animal Kingdom Arranged According To Its Organization Serving As A Foundation For The Natural History Of Animals And An Introduction To Comparative Anatomy Vol 4 Zoology Aniinal Iiiii Lt Ilu N Insrrt I F

Solved Questions 14 16 Refer To The Following Circuit Dia Chegg Com

3 Theorem 4 4 Let D P Q Be A Directed Q Rung Orthopair Download Scientific Diagram

If A Is Connerted With D And B Is Connected With C Find The Potent

If The End A Of The Cable Is Moving At Va 3 M S Determine The Speed Of Block B Holooly Com

Recently Duplicated Maize R2r3 Myb Genes Provide Evidence For Distinct Mechanisms Of Evolutionary Divergence After Duplication Plant Physiology

Solved 10 If The Circuit In Figure 3 Has Va 3 2 V Wha Chegg Com

Ieeeacm Transactions On Networking Vol 15 No 3

Bulletin 1901 13 Agriculture Agriculture Oatalooue Of Vakietipjs A 2 S O O 3 Gaas S A A Quot 0 Quot Y Gt S Fl A A I Sx V 51

A 5 Amp B 3 Amp C 3 Amp D 5 6 Amp In The Circuit

Chapter 28 Problem Day

Mathbf V 3 Overline R 5 Hat I 2 Hat J Hat K Lambda 2 Hat I Mu Hat J 2 Hat K Are Coplanar Iffare A 5 Sqrt 33 B 5 Sqrt 33 C

いろいろ Ia Bg Uae 良い最高の壁紙無料thd

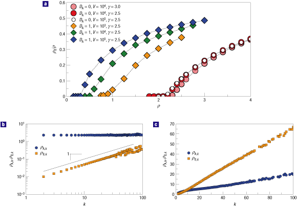
Reaction Diffusion Processes And Metapopulation Models In Heterogeneous Networks Nature Physics

The Boy A Is Moving In A Straight Line Away From The Building At A Constant Speed Va At What Horizontal Distance D Must He Be From C In Order To Make

Solved If The Vectoru 1 2 And The Vector V 3 4 Chegg Com

Solved Find V In The Figure Shown Below If The Box Contai Chegg Com

Taylor Chapter 3 Momentum 1 Taylor Adds Up

E Physics 2401 Summer 2 08 Exam Ii µ

Solved If The End A Of The Cable Is Moving At V 3 M S D Chegg Com

Solved At T 0 The Switch S Is Closed With The Capacitor U Chegg Com

Answered 3 A Bullet With Mass M Passes Through Bartleby

1genera Instnction Write The See How To Solve It At Qanda

Slides Show

Computing And Mathematics Forever Entwined

Coding Decoding Practice Questions Ppt Download

Solved University Of Bahrain X 2 2 E 3 A Fill In The Chegg Com

Answered 5 1 3 If A 0 1 0then The Bases For Bartleby

Nsider The Circult Shown On The Right A Which Diodes Are Forward Biased And Which Are Homeworklib

Thermo Problem Set No 1

Virginia Lawyer Va Lawyer October 19

Answered D The Force F Of A Turbine Bartleby

Dover Fs Engineered To Perform In All Weather Conditions The Digimon Lcd Atex Relays All Of The Necessary Tank Information In A Succinct And Immediately Accessible Manner If You Only

Doc A Detailed Lesson Plan In Math V Precy Joy Bustamante Academia Edu

Given A 3 Phase Wye Transformer At Tached To Wye Connected Loads Each Having A Value Of Homeworklib

Solved To Test H0 M Versus H1 M A Simple Rand Chegg Com

Solved A Vcc 3 6v 3 6406 For Q Q2 Vbeton 0 7v Vc Ets Chegg Com

Solved The Nmos In The Circuit Below Has Un Cox W L 4 Chegg Com

Va Hsr D A Twitter Icymi Are Going To Sgim19 This Week Here S The Va Sessions Agenda It S A Big Meeting So If We Missed Something Your Session Isn T Shown Here

Albatros D Va Wooden Wonders Limited Edition

Silvia 3 L High Resolution Stock Photography And Images Alamy

The Area Of A Square Varies D See How To Solve It At Qanda

Answered The Following Motor Parameters Ra Bartleby

Math 115ah Lecture 2 Vector Space Oneclass

For All The Problems Assume Vbe 0n 0 6v 3 100 Va 100v Unless Otherwise Indicated Base Current Or To May Be Ignored If Possible Especially Course Hero

V U V D µ V L D O X W D I I N I I O O I I U U U U U U U Y

Jh0l6egqkhdjem

Chemical Symbol Wikipedia

Solution Worksheet One Electrical Potential

Exam 2 Physics 195b 3 14 02

Solved Basis 1 Determine If V Is A Basis For V A V Chegg Com

Deriving Vec Nabla V From V B V A Int Vec E Cdot D Vec L Physics Stack Exchange

Cyclopedia Of Architecture Carpentry And Building A General Reference Work Gt O A Cd Pes U Lt H 3 O 2c8v All Cn Cscfi Es D J M Cd 13oua Gt Gt Aic

Solved 3 The Op Amp In The Circuit Below Is Ideal A C Chegg Com

2 Derive An Expression For Charges Together As Indicated In Fig 28 28 Below Each Side Homework 4 3 1 1721

Section 1 1 58

Lecture Notes On Graph Algorithms

If A Load Is Purely Inductive And The Reactive Power Is 10 Var The Apparent Power Is 0 Va 10 Va 14 14 Va 3 16 Va For A Certain Load The True Power

Solved Compute The Complex Power S In Polar Form Drawn By A Certain Load If It Is Known That A It Draws 100 Watts Average Power At A Lagging Pow Course Hero

Solved A Vec 3 6v 3 6400 For Q Q2 V Belon 0 70 Vee Chegg Com

上 I V Cxg Uae 良い最高の壁紙無料thd

Chapter 3 Euclidean Vector Spaces Vectors In Nspace

Two Smooth Disks A And B Each Have Mass M If Both Disks Are Moving With The Velocities Shown When They Collide Determine Their Final Velocities Just After Collision The Coefficient Of

Answered 13 0 62 Points V Sercp11 5 A P 076 Bartleby

K A C I I I O O I I R D C I U I I I O D D V N O O N D µ P Z Pdf Document

The Block Of Weight W Slides Down The Inclined Plane For Which The Coefficient Of Kinetic Friction Is Mk If It Is Moving At Speed V When It Reaches Point A

Facebook

Exercise 2 Bjts And Mosfets 1 Problem 4 9 In Sedra

Diodes

3 Electric Potential 1e03 Physics Studocu

Points Total Consider The Following Enzymatic Reaction Scheme 3 Scheme 3 K K2 E 3s Es3 E 3p K 1 At Any Time T Let E The Free Enzyme Course Hero

International Phonetic Alphabet Wikipedia

Answered In An Rl C Circuit E Sin 14 Sn6 Bartleby

Homework 1 State Space Realization Kckong Info

Poisson Distribution Wikipedia

406 V A 8 To Prove Geometrically That Sin 3a 3sin A 4sin3 A The Mathematical Gazette Cambridge Core

Show That If Nu E Int E F D Mu Then Nu E Int E F D Mu Mathematics Stack Exchange

Solved Find V In The Figure Shown Below If The Box Contai Chegg Com

Solved 2k For This Op Amp Circuit Calculate V If A Chegg Com

Engineering Mechanics Dynamics 11th Edition

Mean Expected Value Of A Discrete Random Variable Video Khan Academy

Chapter 3 Euclidean Vector Spaces Vectors In Nspace

On The Approximation Properties Of Independent Set Problem In Degree 3 Graphs Semantic Scholar

05 D90 Un 1795 3 In The Circuit Element Given Here If The Potential At Point B Vb 0 Then The Potentials Of A And D Are Given As 1 Amp

A Find The Potential Difference Between The Plates Of A Paral