人気の新しい最高の壁紙無料ABHD

Jyryd Papjujqm

Altgr Key Wikipedia

Healthy Longevity From Incidence Based Models More Kinds Of Health Than Stars In The Sky Medrxiv

Alt Codes How To Type Special Characters And Keyboard Symbols On Windows Using The Alt Keys

List Of Unicode Characters Wikipedia

Multiyear Statistical Prediction Of Enso Enhanced By The Tropical Pacific Observing System In Journal Of Climate Volume 33 Issue 1

Rotational Kinematics Ppt Download

How To Solve Unicode Encoding Issues

Ascii Code

0 Lmn Lo L Pq R L Stu V W Xy Z 1 A B Cd Efgh Bij Ekgh Leemnopqrst U5 Vswx Y Bgz

Multifractional Levy Motions

A Private Susy 4hdm With Fcnc In The Up Sector

Find Ef If E Is The Midpoint Of Df De 15 3x And Ef X 3 Wyzant Ask An Expert

Comparison Of Estimators For Parameters Of Gamma Distributions With Left Truncated Samples In Journal Of Applied Meteorology And Climatology Volume 50 Issue 2 11

1 Q A Z 2 W S X 3 E D C 4 R F V 5 T G B 6 Y H N Q A W S X 7 Ctan

Hepatoprotective Glucosyloxybenzyl 2 Hydroxy 2 Isobutylsuccinates From Pleione Yunnanensis Journal Of Natural Products X Mol

Dimensionality Coordinate System And Reference Frame For Analysis Of In Situ Space Plasma And Field Data Springerlink

Rotational Kinematics Ppt Download

Amazon Com 2 Pack Spanish Word Search Book Jumbo 80 Page Each Easy To See Full Page Seek Circle Sopas De Letras With Zelica Pen Toys Games

Recent Progress Of Nanomaterials For Microwave Absorption Sciencedirect

A Plane Flying Horizontally At An Altitude Of 2 Mi Wyzant Ask An Expert

5 Find The Kinetic Energy Of An Electron Whose De Broglie Wavelength Is 40 0 Nm Homeworklib

Comparison Of Estimators For Parameters Of Gamma Distributions With Left Truncated Samples In Journal Of Applied Meteorology And Climatology Volume 50 Issue 2 11

Shaping The Learning Landscape In Neural Networks Around Wide Flat Minima Pnas

0 Lmn Lo L Pq R L Stu V W Xy Z 1 A B Cd Efgh Bij Ekgh Leemnopqrst U5 Vswx Y Bgz

Alt Codes List Alt Key Codes Symbols Sheet Unicode Character Table

Fermi Dirac Statistics Wikipedia

On The Axial Vector Form Factor Of The Nucleon And Chiral Symmetry Springerlink

Measuring Galaxy Galaxy Galaxy Lensing With Higher Precision And Accuracy Astronomy Astrophysics A A

Otsein Hoover 1076 Csh User Manual Manualzz

Altgr Key Wikipedia

Sms Length Calculator And Text Message Segment Counter

13july Untitled 096 2 Ape1 W C Ee Eeth Yc Qr Y V Qg Fqo Iae Flickr

Altgr Key Wikipedia

Amt Full Physics Carbon Dioxide Retrievals From The Orbiting Carbon Observatory 2 Oco 2 Satellite By Only Using The 2 06 µm Band

Probing The Stability And Magnetic Properties Of Magnetosome Chains In Freeze Dried Magnetotactic Bacteria Nanoscale Advances Rsc Publishing

Comparison Of Estimators For Parameters Of Gamma Distributions With Left Truncated Samples In Journal Of Applied Meteorology And Climatology Volume 50 Issue 2 11

Rlwe Based Zero Knowledge Proofs For Linear And Multiplicative Relations Springerlink

X Ss H L U N 3 K µ R E R µ I M S 3 U R M A U Y A 8 U Y D Ae X Ss H Pdf Document

Alphabet Abc Phonics Part 2 H I J And K Cocomelon Nursery Rhymes Kids Songs Youtube

Rotational Kinematics Ppt Download

Optical Modeling And Electrical Properties Of Cadmium Oxide Nanofilms Developing A Meta Heuristic Calculation Process Model Journal Of Applied Physics Vol 117 No 13

Batteries Free Full Text Effect Of Porosity On The Thick Electrodes For High Energy Density Lithium Ion Batteries For Stationary Applications Html

Thermo Problem Set No 1

Nonhermitian Hamiltonians Of Lie Algebraic Type Paulo Eduardo

Windows 1252 Wikipedia

N8 Pill M

Onset Of A Quantum Phase Transition With A Trapped Ion Quantum Simulator Nature Communications

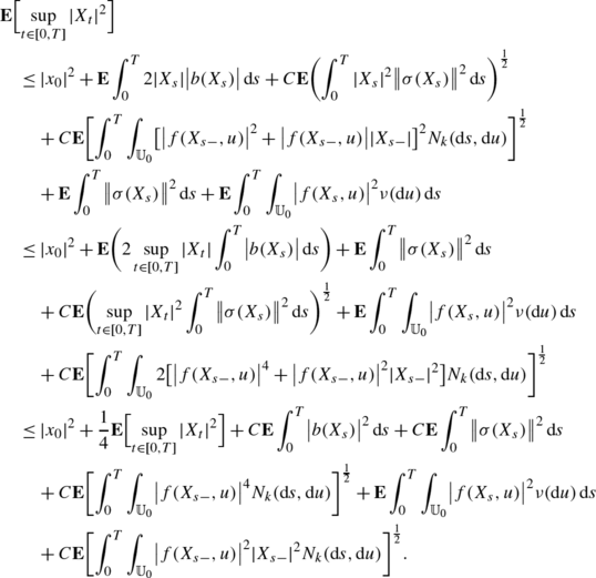
Exponential Ergodicity For Sdes With Jumps And Non Lipschitz Coefficients Springerlink

Shaping The Learning Landscape In Neural Networks Around Wide Flat Minima Pnas

Theoretical Prediction Of The Fractional Ac Josephson Effect In P And D Wave Superconductors

Support Of X I Px 1 X 2 Q For I P0 5 3 5q Download Scientific Diagram

Rotational Kinematics Ppt Download

Comparison Of Estimators For Parameters Of Gamma Distributions With Left Truncated Samples In Journal Of Applied Meteorology And Climatology Volume 50 Issue 2 11

Altgr Key Wikipedia

On The Axial Vector Form Factor Of The Nucleon And Chiral Symmetry Springerlink

C Span Org National Politics History Nonfiction Books

Comparison Of Estimators For Parameters Of Gamma Distributions With Left Truncated Samples In Journal Of Applied Meteorology And Climatology Volume 50 Issue 2 11

Risa Vocalica Bilingual Planet

More On The Long Time Stability Of Feynman Kac Semigroups Springerlink

Mystery Instagram Jfif Information Reads Photoshop Photography Stack Exchange

Ddd 13 Dag 2 Oss I1fb I Yss1 A3 Y O C I E Ndnnyo 8aj Flickr

Rotational Kinematics Ppt Download

Theoretical Prediction Of The Fractional Ac Josephson Effect In P And D Wave Superconductors