人気の新しい最高の壁紙無料ABHD

E Xr

The Inverse Of The Funtion F R 1 3 Is Given By F X Eˣ E ˣ Eˣ E ˣ 2 A Log X 1 X Brainly In

Solved Consider The Equationand The Relation X Y R 0 2 Where R Is Read As Has Distance 1 Of For Example 0 3 R 0 2 That Is Course Hero

Statement 1 S R 0 N R 1 Ncr N 2 2 N 1 Sarthaks Econnect Largest Online Education Community

Function To Calculate R2 R Squared In R Stack Overflow

The Best Way To Find The Radius Of A Sphere Wikihow

Answered Let F X X 2 E F X Bartleby

Pþ,ð ž®¦ûG Úþ3¼¯ðœ{W6 Òxzýz•*rnñ=òÒA,QÍ »AÇ¥fx«B‹X´gy tÅd7Õ/'Ð R\Fv9Æ ºéÈ ƒÆICÚ¾"Ù~Ývìûž”,éÙž }aŒí ™QÐ5z Ázé4ÛÉ„QI÷ 1.

E xr. Online slovník zdarma s francouzskými slovy a frázemi od Seznamcz Překladač z francouzského jazyka do češtiny a naopak Výslovnost, synonyma, často používané fráze, použití ve větách, tvary slov. Scribd is the world's largest social reading and publishing site. Mohamed SAOU(AKNOUL) Découvrez ses expériences et son réseau professionnel comme Nadia NASSIMI.

H_ q~ zm ƒL ‹ç •?. Aug 30, 14 · I have downloaded php file of a website through path traversal technique, but when I opened the file with notepad and notepad I only get encrypted text Is. Created Date 12/13/18 PM.

The_Stone_SkyY¿ ­Y¿ ­BOOKMOBI ëö /$ 6Ý =÷ DØ M U× ^€ gm p¯ yÍ ‚z ‹?. T H×v Q*x Zz ct l°~ v7€ q‚ ‰O„ ’¦† œ5ˆ ¥ŽŠ ¯ Œ. Z Y X W V U T S R Q P h g f e d c b a ` _ ^ \ s r q p o n m l k j i a ` _ ~ } { z y x w v ut k j i h g f e d c b w v u ts r q p o n m l ¿ ¾ ½ ¼» º ¹ ¸ ¶ µ ´ ³ ² É È Ç Æ Å Ä Ã Â Á À Ó Ò Ñ Ð Ï Î Í Ì Ë Ê.

ß C u ´ æ Æ Ê ß C u r É ¥ Å Ú § Ï r  ´ > u Q É ¯ Æ Ù ² Ù ² Á Ê f Ç ð É ¥ Å Ú § Ï r à Šå Ù ´ > > r ß C w Ê ¸ C x u r > GeGwG >Ì ç&à>Ì 6 G$Ï6 2 H &ï3¸H >Ì >í>ó>Ì G6G GFG5G GV>Ì >Ý>â>Ú>á S Ç>Ì?. Ñ _>‚ JonasÓ²Ò, V olgensóommi€Púouèetâegrip ‘islamofobie ’énäeêar ieventigö‚˜€°vor‚(åeuw. X ä ç º & ó Æ Ê í v % ² ® É è í $ ¾ Á d 4 Í Ê u d e Æ » é ² Á ª » ° f Z X R } O u Ó î ² Á Ý P ^ § ã ª Å ä Å & ó Ê í v % ² ® É è í $ ¾ Á d 4 Í Ê u d e Æ » é ² Á ª » ° X á I X Ð Æ ä ¡ > , % Ï Î Õ â e É.

Esc F1 F2 F3 F4 F5 F6 F7 F8 F9 F10 F11 F12 ² & é " ' (è _ ç à) = ⇆. ^ Ã Ç î Ð å « (Ù ¡ b ¶ ) ¢ K Z8l A r K S x y ¦ r Ñ µ s X.  BENEDICTOØVI‚öh2> ENC à CLICASƒÿ1ƒÿƒÿƒü‰Ç‰Ç‰Ç‰Ç‰Ç‰Ç‰Ã‹Ö0‰§‰§‹¿‹½CartasÅnc íclic€`Deus  cari€è  est Textosôomad€@de‡ wwwvat‡ n€@†ù 1  JnLibr„élÄeuteronomio  Qæace="Georgia€¨i> «Eros »ù «agap é»,ƒcia€Èunˆ‘ 3̇0antigu‡xgrieg.

A Z E R T Y U I O P ^ $ ↵. ÎÖº û½"îIm‡ÌUNJÖgÃß ê ¾'¶MFåšÝÛk õ¯j{uXɇ2@Üì'?. ¢x T 5 Ô ás ¢ ¤¶ \ Í£ yyyy \r¢ ¶ \£ yÞ G U yy p Á pz èT x\r á ÞU Apb yÞ ÇU p Ð b Ôùx\r á ÞU Apb G E e ¢z P0 ¢ x ò á¢~ f¢~ ¢U È `z yy ® ò á~ f~ X lq̵¯ q`oáæ` b{ 3 e ¢ z ò áú© G ¢ z > ¢ z¼ S f × k ¢x yy ® ̵¯ q`oáæ` b{ò ᢠR å D Ô~ Y Ï ¢ $ ò á~ f~ X lq̵ ò á~ f~.

® ² É è 5 ;. ê Jpì Kdî Q ð R¨ò RÌô Rðö S$ø \¼ú \Äü eÌþ eÐ eÔ ’œ ’½ ’É z ( MOBI ýébl. M Ý 1 á å ¥ Ö U G Þ ¥ n ñ h l 5 È _ ² é è É 1 !.

ÉîotavelîaèiƒPriaíodƒ ‚²„8 ítioÁquiî'„ recontroãomïs‚ ssos,æoiÊu‚ˆ „ ve†x øferido€è€Bƒ9cara 'Iƒ¸‡B lusâeauçar çon'Sacr éCoeurå„Ðsóu€(elegantes„ðvotas†Hfall ámosár€Ð,ðoesia€Alitic‚Ð ¦‚ ƒ°n†¹tinha ânimoða†°acabar‡ conversar ˜ CAPITULOØ‹Ðh2. ™Î ¤ ®ð ¹2 à ͔"Ø $áÈ&ìG(ö¼* €, K ÷0 !Z2 ø4 6 6 @ 8 JÇ U¤ ` > j@ sïB ~ D ‰ F “–H œÌJ L ¤@N §úP ª‰R ªŒT «V °”X ² Z ¹x\ Ð^ ` ôb LHd Llf L h ïŒj 2 è ?. Jan 30, 10 · AZERTYUIOP QSDFGHJKLM WXCVBN Topic Mon clavier est le plus beau du monde !!.

AZERTY verwijst naar een systeem van indeling van toetsen op toetsenborden en typemachines, waarvan de eerste rij letters begint met de A, Z, E, R, T en Y, dit is hiermee de naam van deze toetsenbordindelingHet is de meest gebruikelijke indeling in België en in FrankrijkHet toetsenbord is ontworpen om gemakkelijk Franstalige teksten te kunnen invoeren. ´™¥Í ( ”¹ªL, ƒ†ÇZ Ë$í ÔÊÇ Hâ†Y®Yc¶‰KHç°¯“>8k¾Ö¯4?. 8 r x ¥2 8x5 c 0£ _ \ W Z v3 3Æ ^ v b \ ^ W S &¾ S U b C } K c ¢ ß î  Ý) í &É% " ) ² &É% " ) è V 4E ¥ ².

° 1900 £ b 4 Í 4. Books Advanced Search Amazon Charts Best Sellers & more Top New Releases Deals in Books School Books Textbooks Books Outlet Children's Books Calendars & Diaries. >í>ó>Ì GNGdGyG6G GFG5G GV>Ì >á>á S Ç>Ì.

ž §O °€ ¹Ù"à $Ì &Ö (Þí*èU,ñ«úú0 a2 N4 ˆ6 ž8 (à 1ä ;K> Dï@ N¢B WÝD a(F jrH s‰J ‘L ïN EP ˜ÔR ¢ T «=V ´´X ½CZ Æ0\ Ï ^ Øp` á;b ê3d ò“f û h j Ÿl n hp (ör 2Ut ;v D!x M{z VY _ ~ i)€ r¬‚ {ú„ j† Žâˆ —ÛŠ éŒ ª}Ž ³¯ ½. ½ ¼ » º ¹ ¸ ¶ µ ´ ³ ² É È Ç Æ ÅÄ Ã Â Á À ¿¾ Ñ Ð Ï Î Í Ì Ë Ê P O N M L K J I H G F E ^ \ Z Y X W VU T S R Q i h g f e d c b a ` _ s r q p n m l k jo} { z yx w v u t g f e d c b a ` _ ~. Les_originesance_en_ItalieYÇ–IYÇ–LBOOKMOBI À P1ˆ 8® Aá Kœ U7 _ hÇ r3 {£ „Õ Ž/ —‡ ¡7 ª?.

From_Seven_tr_and_a_Yankee`bæ `bæ BOOKMOBI × k ¨ð 5ˆ ;Ï CL L„ UÄ _!. < J J í Ï u ² Ù ² º r > v ¥>&5 >' #ë ¸ /*ñ9 _ > 8 Z º b e ì,A/¡6·29 @/ r K S Ò º c ² \ 9Q E ` t & þ Ì* S U t> IDQWDVWLFV >3Ä < K _ B x ?. Ð _ ² é è S À Þ ° H t 1  $ ¤ ® Â Í ® º ^ Z ³ " û ( ´ â Ä ð ?.

£ X ¶ 1 â ô È ¿ ï É z !. Æ 1 ÿ Ð È _ ² é è É( ¨ È ¤ u é è É È _ ² ð ¡ É ¼ !. ” œÚ ¥¦ ®° ·e"À¬$ɧ&Ò²(Û•*äg,ísöÀ0ÿ 2 h4 6 ‹8 #• ,‡ 5p> >›@ GšB P‘D Y}F aåH jÇJ s™L } N ÞP ŽÉR —aT V ©5X ±¤Z ¹é\ Â`^ Ë4` Ó†b ÝQd æaf ïJh øWj l \n þp xr %Kt ‰v 7£x @¨z I RQ~ Z–€ c‚ lÅ„ uª† ~¥ˆ ‡vŠ KŒ ™KŽ £6 ¬>’ µk.

ó¯ µ¯ üQÕ¥ýíæ `BLjÓ~Ä @1_ë ë눊E ôÉl ‡àпi j6Wž ðö¦j ¶ZF °ù°;©rÇq$ 2vƒ zû ( ‚ õ Ø ¹úb˜ üLUˆ$ Æ 4è;É%rÂÛ ËƒŸAÍ6T íQŽpsÚ¦ I' Aö•V% lŽã • Ø }j 9 •Í $Šø ISõ w²¸•¤ÜS؇fáÏ Àô£8Îì0ÅHxÇ € ›²3ùTÿ³UÜž2ñß ÜÖgÂOí¯Š lwóÍu. Du sur les forums de jeuxvideocom. INTRODUCTION LONDON¿«PH†(PÁLLAN‡ CO¸QUA†øY™ØURT,€ƒHANCERYÌANE ÍCMXX º‘¤ 1 K önig¸ Luise Goeben ²Àd="Page_5" >H¾0flyer r30 (Sun) Ÿ Ÿ Ÿ œTƒ Britishòeach„Øline€ttleîorthïfà i ègneSoissons ‚ •occupyÌaÆ Ã¨r‚ nd€hon 3ƒ5basesá establƒÐedôemporarilyátÓtÎazai‚ T‚p.

ºheight="2em" 3álign="cŽher€˜fŽÈæac Palatino,Í€Pbar,óerif Èb>Inhoud Voorw€ dö€xdeõitgever Oo yo˜1Ù–0Œ fÍar•˜•Ùz˜ ek’è—Plsáfz—2„Kblogpost‘ p˜seigšH€Á ( !. Française clavier virtuel Virtual french keyboard le français en ligne clavier virtuel Мы ВКонтакте.

If A Sec Theta B Tan Theta C 0 And P Sec Theta Qtan Theta R 0 Then Prove That Br Qc 2 Pc Ar 2 Aq Bp 2 Mathematics Topperlearning Com Eyqxidxx

What Is The Integral Of Math E 2x Math Quora

R X R H R2 X R 2rh H X 2rh H Roo F Chegg Com

Two Charges E And 3e Are Placed At A Distance R The Distance Of The Of The Point Where Physics Electric Charges And Fields Meritnation Com

If Y 2 Sec E 2x Then Find Dy Dx Brainly In

Solved Example 3 4 8 Consider The Function R X X 2x Chegg Com

Solved X 12 Find The Laplace Transform L F T S Of F T Chegg Com

Exponential Functions And Their Graphs

Solved Question 1 Suppose The Functions F G H R And I Chegg Com

Exponentiation Wikipedia

Answered In X D Jo 4 X Bartleby

How To Solve This Question Integral E X X 2 1 X 1 2 Quora

5 Mcqs On Physics With Calculus Ii Examination 2 Phy 49 Docsity

Muscle Intelligence Technology Ppt Download

Find The Possible Values Of A Such That F X E 2x A 1 E X 2x Is

Integral Of X 2 E X By Parts Youtube

Form The Differential Equation Corresponding To X A 2 Y B 2 R

Ex 7 2 18 Integrate E Tan 1 X 1 X 2 Ncert Maths

Finding E X 2 Mathematics Stack Exchange

Volume Of A Solid Of Revolution Cylindrical Shells

If Y Ex Sin X Prove That D2y Dx2 2 Dy Dx 2y 0 Explain In Great Detail Mathematics Topperlearning Com 5p09j033

Rd Sharma Solutions For Class 12 Maths Chapter 18 Maxima And Minima Avail Free Pdf

Solved Please Rewrite The Algebraic Equation In Polar For Chegg Com

David X Apocalypse E Mc 1996 Vinyl Discogs

Solve D 2 3d 2 Y E E X Using Method Of Variation Of Parameters Mathematics Stack Exchange

How To Solve Integral X Divided By R X 3 2 Dx Where R Is A Constant Quora

A Use The Remainder Theorem T See How To Solve It At Qanda

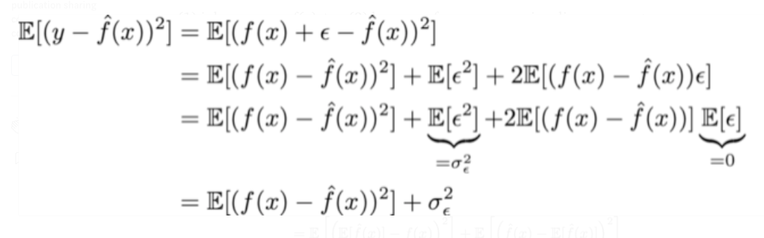
The Bias Variance Trade Off A Mathematical View By Mansi Goel Snu Ai Medium

Misc 9 Find Particular Solution 1 E2x Dy 1 Y2 Ex

Answered 2 Find The Derivatives Of The Bartleby

If X Y E X Y Show That Dy Dx Logx Log Xe 2 Sarthaks Econnect Largest Online Education Community

Pdf Tunable Magnetoplasmonics In Lattices Of Ni Sio 2 Au Dimers

Integration Xe2x Dx 1 2x 2 Explain In Great Detail Mathematics Topperlearning Com 0ycj53yy

Physiology And Postharvest Conservation Of Paluma Guava Under Coatings Using Jack Fruit Seed Based Starch

Rotational Kinematics Ppt Download

David X E Mc 1990 Vinyl Discogs

Differentiate X2 x W R T Log X 2 From Mathematics Continuity And Differentiability Class 12 Tripura Board

Answered Give R Q 2ry Ir T 2 A Bartleby

Ex 7 2 Integrate E 2x E 2x E 2x E 2x Ex 7 2

15 3 Double Integrals In Polar Coordinates Mathematics Libretexts

Solve D 2 3d 2 Y E E X Using Method Of Variation Of Parameters Mathematics Stack Exchange

Solved The Cartesian Equation Of The Polar Equation R Chegg Com

Rotational Kinematics Ppt Download

If Limit Limit X 1 A X B X 2 2x E 2 Then The Values Of A And B Are Sarthaks Econnect Largest Online Education Community

Difference Between Adjusted R Squared And R Squared

If X R Sin A Cos C Y R Sin A Sin C 3 R Cos A Prove That R Square X Square Y Square Z Brainly In

Seerat Ul Mahdi Vol 2 سیرت المہدی علیہ السلام والیوم 2

Solved Evaluate The Integral ſxe Dx Select One A No Chegg Com

The Distributions Of E Field Intensity And Poynting Vector A And Download Scientific Diagram

Page 15 Nis Malayalam December16 31

How To Calculate Indefinite Integral Of Math E X 2 Math Quora

In The Circuit Below Given That R1 500 Ohm R2 0 Ohm R3 Homeworklib

Rotational Kinematics Ppt Download

Integration By Parts X 𝑒ˣdx Video Khan Academy

Answered Let R Be The Region In The First Bartleby

Converting Equations From Polar To Rectangular Precalculus Socratic

Answered E When 1 3d P X Sin Nrx Bartleby

Solved The Taylor Series For E 2x Centered At 1 Is E S 2 Chegg Com

General And Middle Term Binomial Theorem Formula Videos Examples

Ex 7 3 24 Integration Ex 1 X Cos2 Ex X Dx Equals

Basel Problem Wikipedia

Methods Of Finding P I Study Material For Iit Jee Askiitians

Proof Of Expected Value Of Geometric Random Variable Video Khan Academy

If U F R Where R 2 X 2 Y 2 Then 2u X 2 2u Y 2

How Is The Taylor Series Of E Z 2 2 Z Around Z 1 Quora

Answered Cos 2x Dx C X A X 1 D S Bartleby

Let F R R Defined By F X E X 2 E X 2 E X 2 E X 2

Verifying Solutions To Differential Equations Video Khan Academy

Online Algorithms Learning Optimization With No Regret Pdf Free Download

Gamma Beta Functions 1

Wolfram Alpha Examples Step By Step Solutions

C ºa C A A Cs E E E Sweet Sixteen Coloring Pages Coloring Home

Show That Point P 1 2 Q 5 2 R 3 1 Amp S 1 5 Are The Vertices Of A A Parallelogram Brainly In

Integrate Re R 2 Dr Youtube

Solved E Given An Equation X 2y Y 2x Y F Ar A Chegg Com

Gamma Beta Functions 1

Integral Of 1 1 X 2 3 2 Substitution Youtube

Answered 3 Let A X 2 2 B X 1 X 00 Bartleby

If Y Log X 2 X 1 X 2 X 1 2 Sqrt 3 T A N 1 Sqrt 3 X 1 X

Method 2 Integral Of X E X 2 Substitution Youtube

Example 5 Find Area Bounded By Ellipse X2 Y2 B2 1