人気の新しい最高の壁紙無料ABHD

Lb Diylbg

Candy Cth 1276 Sy User Manual Manualzz

Siemens Wm14y0gb Operating Instructions Manualzz

Tribunjogja 11 12 By Tribun Jogja Issuu

Pdf Ideology Contestation In Management Of University Library Development

Tribunjogja 21 04 13 By Tribun Jogja Issuu

Panasonic Tx40fsw404 Tx32fsw404 Quick Start Guide Manualzz

Pdf Thermal And Photochemical Reduction And Functionalization Chemistry Of The Uranyl Dication U Vi O 2 2

Felco Hauptkatalog Profi Scheren Gartenscheren Baumscheren Messer Sagen Page 41

Cawlfield Christopher A University Of Illinois High Energy Physics

Proceedings From Illuminat Enerlin

Pdf Identification Of Novel Species Selective Agonists Of The G Protein Coupled Receptor Gpr35 That Promote Recruitment Of B Arrestin 2 And Activate Ga13

Tribunjogja 12 08 13 By Tribun Jogja Issuu

Diy Pl 122 Mr Thei8ue Dy Oa Oessmuuzuuni Oea C Ge U Ns Flickr

32 74 Id 5cbba

Tgs To Webp

The Complete Idiot S Guide To Creating An Html Web Page Index Of

Pdf Thermal And Photochemical Reduction And Functionalization Chemistry Of The Uranyl Dication U Vi O 2 2

Special Characters On Your Computer 8 Steps With Pictures Instructables

Z L M N O P Q R S T U V W

A A A Eœ A Ae A E C

Calameo ملخص القاعدة البغدادية

Pdf Crystal Structure Of 1 3 Trifluoromethyl Cinnamoyl 3 Pyridin 2 Yl Kn Pyrazole K2n Bis 2 Phenylpyridinato K2c N Iridium Iii Hexafluorophosphate Complex C40h28f3irn5o Pf6

Z L M N O P Q R S T U V W

Panasonic Tx32est606 Quick Start Guide Manualzz

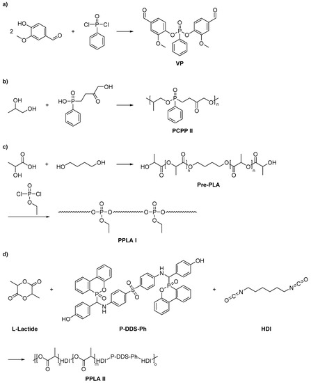
Molecules Free Full Text Phosphorus Containing Flame Retardants From Biobased Chemicals And Their Application In Polyesters And Epoxy Resins Html

Pdf Sonar Texture Classification And Rotation Invariance Gilles Burel Academia Edu

Pdf Discurs I Estrategies Del Poder Reial A Catalunya Al Segle Xiv

القبس عدد الأربعاء 25 أبريل 18 By Alqabas Issuu

Molecules Free Full Text Phosphorus Containing Flame Retardants From Biobased Chemicals And Their Application In Polyesters And Epoxy Resins Html

Pdf Chapter 1 The Transition To Sustainability Transition Towns And Sustainable Communities

Pfm Amplitude A C And Phase Images D F Of The Domain Structure In Download Scientific Diagram

Die Personalzeitung Des Waidspitals Das Symposium Zu Seiner Verabschiedung War Ein Voller Erfolg Pdf Kostenfreier Download

Ddl18 Digital Proceedings By Info Ddl Conference Issuu

Pdf Acoustic Analysis Of Starting Jets In An Anechoic Chamber Implications For Volcano Monitoring

Pdf Classification Of Soybean Genotypes Assessed Under Different Water Availability And At Different Phenological Stages Using Leaf Based Hyperspectral Reflectance

File94

E Paper From 8 January To 14 January By Police Mahanagar Issuu

最も選択された Y Uae Xc Tbv 新しい壁紙を無料で入手するxhd

258 Dsc 0564 Ya En H X j Aeµ Lo C Rsso Uoory1b A Flickr

1cockhair Awayfromameltdown Double Chin 2w When U Open Cute766

Answers The Robert Napier School

Riesen Kuchen Raumungsverkauf Pdf Free Download

Stones And Crystals By Global Gifts Issuu

Pdf Unraveling The History Of The Vowels Of Seventeen North Vanuatu Languages

Farmers Guardian Scottish th March By Agribriefing Ltd Issuu

E S U O U U A O U N U O C O I Zz Gz N C 6 Ae P Z U Z Iz Zg G K U

Any Method To Optimize Graph For Qat Model Quantization Pytorch Forums

Pdf Full Issue October 13 Dr Syed Mohd Yahya Saba Academia Edu

Z L M N O P Q R S T U V W

File94

Z L M N O P Q R S T U V W

Festk A C Operbasierte Einzelphotonenquelle Diplomarbeit An Der

Molecules Free Full Text Phosphorus Containing Flame Retardants From Biobased Chemicals And Their Application In Polyesters And Epoxy Resins Html

Terry 0286 A Goahkecpgo Ea Dy3z Awiyn Xtho S Hthifrb3z Bao8 Flickr

Z L M N O P Q R S T U V W

Keg 5e

File94

Z L M N O P Q R S T U V W

O Ae Ae Uae 人気の最高の壁紙無料whd

D Aeau E X ˆe Ue Ui B O R N T ƒaos Y M Ha F C 8 S Zno Ath Oal I Oto Ii k ˆa I Oth œœ Iq Ba J Y Vi Ae Ea C K B Uae I µ N 9 ºn O7 O7 Ss Fe I Uv œsyo 4 Op Xch Fe Cu Iss B E Othoe F L

Z L M N O P Q R S T U V W

Pdf Natural And Eco Friendly Materials For Triboelectric Energy Harvesting

Manual Manualzz

Qatar Astronomical Center

Von Yogasocken Bis Zum Holzengel Pdf Free Download

Molecules Free Full Text Phosphorus Containing Flame Retardants From Biobased Chemicals And Their Application In Polyesters And Epoxy Resins Html

Molecules Free Full Text Phosphorus Containing Flame Retardants From Biobased Chemicals And Their Application In Polyesters And Epoxy Resins Html

Das Jugendorchester In Aktueller Besetzung Vorsitzende Christine Stoll Deshalb Konnen Interessierte Jugendliche Die Seit Mindestens Einem Pdf Kostenfreier Download

Pdf Mononuclear Schiff Base Complexes Derived From 5 Azophenylsalicylaldehyde With Co Ii Ni Ii Ions Synthesis Characterization Electrochemical Study And Antibacterial Properties

L Depressa High Resolution Stock Photography And Images Alamy

Adorando