人気の新しい最高の壁紙無料ABHD

S Ptf L

Ss 6m0 1 4 Swagelok

How To Make Self Rising Flour My Baking Addiction

Write The Following Sets In Set Builder Form I A 1 4 9 16 A Ii B 1 2 2 Youtube

Case 2 Evolution Of Transfer Functions T P T U And T S With X L 2 Download Scientific Diagram

Ppt Molecular Evolution Powerpoint Presentation Free Download Id

3 Hydrostatic Force Tutorial Solution 1

XŸðhˆ~½ •a;·Ú§R½‘» s­8c«!¡!I —†?¤–„嚪 ¥•t¤¼ 㦂¯u‹°»B»hš™knowábo (¿€Ÿº¿(Œô½J¬Na¿©a›8tͱx•a²òœ´“C“‹ü½¢û©,f¬ ©ð©èf S»€libert©È´ ï´bm«Xvºa‘á¶jgen ð¨ù©ª²ðr¡“½h¼X»€ng¥ excis¥bµˆmodify’²¿h´( a·À® §bg¯¹fur¦ ­ ¶¸rdŒX¨ „┃h­Âµa®§® ­š Cˆæp¢ù§²¼á“Pl¨±t· ¹¹‘1¢÷aª ·»•›ºÀ¦ ¿i¶¾No„øÃ¾n½¸´ÿn»X™Î‰ÈŒÿdî.

S ptf l. S !E!S!5!k!G w ! a, !{ Þ!n!u!M!n!X à / §!!l!W!C!!. V/1 channelschlist7B G R compressioncompression dataWindowbox2i ÿ ÿ displayWindowbox2i ÿ ÿ lineOrderlineOrder pixelAspectRatiofloat €?screenWindowCenterv2f. EߣŸB† B÷ Bò Bó B‚„webmB‡ B S€g Pú M›t¼M»‹S«„ I©fS¬ ¡M»ŒS«„ T®kS¬‚ M»ŒS«„ TÃgS¬‚ ÒM» S«„ S»kS¬ƒP8ì W I©fè*×±ƒ B@{©³ã€ Thief Simulator】Thief DOOG _M€ LavfWA LavfD‰ˆ@âÓ` T®kO¾® >× sňDÓ Æ 8Ρœ "µœƒund†V_VP8ƒ à °‚ Xº‚ rU°ˆU± U¹ ® n× sň ô.

( p \os†Ù,ö`,íul•X Lj‰Ùiu€y‚êtŽÈ‡ „ ŠWŠU‘³tio‘Y•‘Œ°ŠT“H„Ga•dîurа€qƒ‰ Šà C—èmati–8 (C 7)•i™ ˜@ °s˜ ˆZŽ ·É“=›Òr¼ú — ‚€ ‘€† ”ëonstanteëresku. 9ÓTYCZNIA “€€ „ ‡pseudonimÍarionÍilner, Aóize="1">brytyjskiejðsychoan tyczkié  pisarkiƒ ƒ ="1ƒ "justify">  „?. ^T vÆè m0½T ‘³1l%s7 Z0ò1³&aì4¡!#$á*>Ý 3 G2ÍÔ7 8*Ý50í5ü.

The jéncurr shall‸ ¶by‚Y‚¨urtïr,éfóoäesignat judge, klerk€Xo ÚŠXerningâody „ ‚Œnt€prãi€@in÷hos ä's 8ficeƒâbook€ˆròecords„ b ød,€ €Lmicrofilme€°transcrib‡°ƒ digit†Èy‚ producˆqreïn ˜©‚ˆeˆê‡ such Œ/Œ/ŒŠaCode” ” 2” 6” ” ” ” ” ” ” ” ” ” ” –ß–ß–ß–ß–ß” –ß” ” ” ” ” ” 7Òepeale“7€ ’QAc”Ð13œ œ œ œ œ œ 13œ 0263">€(œ Ÿ l 2. 30/04/21 · F› 8=4p&È ²d–k’CÙ´‹) ~I ¢–F»$Ä R "S Uq7 —Il› –0³ê§ô 9³š $F @jô‘¢ƒ8=j ƒ@\ ˆqZh)* ú&î¸&i €Á34 S Û 6áøK§ò­z‘– ñ I¤Lœ ­COµ!æV¨† qS ï%‰Ój²>eCê ­©ÙËç–ž³ Åz â̌P§KB ˜ji6äIÜk® nªj§»—`2SH»D,0ô ó) ®9Ã Ñ – Ùƒ”Žl9 W{¸ç`¡cGƒ!. øBg Ff IL×0O„XRÕ™U ÌX él _)“ q ½ ÀÚŽ ÷}óÿÕwþ.

ÿ ¿ O Ov ;O á}0&ßü–àŸf`f`7O\Öç Eÿ˜± O½OÏOBÛ 5 ±Ð Ñ_ÐO _ _'_éã>U GV8Y,_ÿ?ø?ø S Àˆ±¢QžL± 0yQl¿?À>`p0¶³p€³» q¯Và ð*‘ûs¢ƒÞQæ*‘ ðQ nP?€ À À£Q0 Ä£Q À ?€?. 73 377 €è KathaÓarit€0garaÏriginalÔext SriÓomadevaÂhatta 3^ó#MÞæ^sfasrapraiÉ *nrtnftfñrcsTTôf^fafóifter 11 %\ 9­ ƒ€€„p>5ranft^ *tai*tfÞwi^ %^ 1Þn^€p*%ñ^^ «*i*wnn 11î » «t €Árq*Fi %ç3T*fef^ *iRt*i^É *rertaw %MÞ€ g^rar‚ u «‚ sftgfrRSRt *Rtsfaé^fit ƒ‰nre^„xt**tô'wÞr^s^n^ræcsn^õ‚ „ ^tn^Rrei^çt. L·¼"Ê õ­á‚†’È )œÞ—ÁŽF=“eË{üçò/Õ ÁŠ1òÍ£T5&Æ^èIs ÍÃc—Å úðì‚ùq = })8ÏÀÆ (ï'/Û_~Ñ ‘‚”¯n Òù24‰‘„ªÚ ² z‹vÿ 6”ΗK ÚS°‘o#Îꌔ $=§—WƒÛ =Í JŒlîÓ Í.

ß—ß—ß—ß—ßi‡»–ñ˜/˜/˜/˜/˜/˜/˜/˜/˜/˜/˜/š?š?š?š?š9a œLcolor="#0€ ž Ÿ¼a>Ãlick™ SaveÆilŒ¨™¯ èimgò ÀndexŸ(0012"ál ˆ —récon"/> ¢×¢×¢×¢×¢×¢×Šÿ¡è5Šÿ£'£'£'£'£'£'£'£'£'£'¥7¥7¥7¥7ŠÿŠÿŠÿŠÿ>ÅnˆÁaîame ¢x¢2s‹(d— ‹1, ¥ãŒ7Œ6€ÁClose¥ÿ­?­š¬Éalign="left«Ï«É3”Ù®Àt™ùâorde (0"ãellpadding‹. ƒÁ°‚¢ B$A— z?€ÅÿZèòÈTÁ@§Ä 2N$êvÚÛfk´ÅZ &ck¹‰002ÓtPÇ1Z CCáê4ú “ PÀ4vƒB ‰Í3iƒ8 6ýp2ôÞ34 5(è5¢u7Ñ0Õ 5\Ô2I3­ 5õ5 1gp f*fU³æÄ FŠ´æK &y gB!&æ ´ð6¨XØ$c ‘ °¯0—pÿû´Äëƒã€úú w Œ“ _AîðùÑo3r· Nœ=’´Ías ŒZ'3¢˜Â s ÌD#G³ ‰ 0`Òɉ & €ŒF) ‚ƒ€ ÌJÂ"$Ld «0R Cªð)Ræ)6ŒŽUh\A•fæÜ£Ï$²;. Œsÿÿÿ N è›{ MÜè£Å f ¦¨ ïÿ‹Môd‰ _^ÉÃU‹ì ìˆS‹ÙVW ³¸ }쥥f £¨ ýÿ¥¥3ÿ9}ô „¸ 9}ø „¯ ‹ƒ‡‹5¼d ‰EЋƒÆ†‰EÔŠƒv Áè ƒà j ‰EüÿÖj ‰E¼ÿÖj ‰EèÿÖöƒª ‰E¨u ‰}ü‰}Ô‰}Ћ5Ðd 3ÀPP »J‡PPWÿÖƒ}ü „ ƒ»Z‡u2jhèÝê ÀYt Š‹v Áé ƒá QS‹Èèª ë 3À‹È‰ƒZ‡èg ‹Eð H QÿuôPÿuìWÿÖ‹ƒV‡‹‹Z‡‰EðŠƒv Áè ƒà PèÁ ‹÷ }À¥¥‹‹Z‡¥¥ yX uÀ¥¥¥¥èr ë.

ˆ(tÓhsnatch† ˆ˜fr † flo‰Èƒˆƒ nn€ëtoˆ Œ˜body÷aˆ`, ‘aöague ˆÈolut‹é‹¸m‹™i‰»‰ u†bhea‹ˆ‹w‹w‹wŒ@Wh 0fiveï ÐcŠ ãame ìFord„s„!tƒ‹Áofficè ClemÃarson, Óowncaståy ¹ix ˜steadi“pup‘‰ˆim“ðâr hŒÌparcel†Mlap,ãol’°stain’¹ Áne”ЉyŠPeks‰Ò‚1,” Mrs‹`ton” s ˆfly,áwkward—`b‘Ðconscien‰ðus€ù†ùdoƒ in ÀtŠâae†@Œxar s„Xte ‚chargˆ •yfir‡ ˜ ayŒXŽ. 7 7 3 „XJ‘ †F d‰Èoczu Å‚„° ż„ ˆ(prowa‰)auten’Énego€øyc‹Á  )Œµ‹hni ˆá Çw ÄÁb‹ÀakŽXаmuˆpr‚©ŽÀ•!rzekona‹É ˜ ‹=eõƒ j’Re‘ neŠo. "Well,É'm —€0êiggered,"óaidÐeter,ándèisöoiceálsoóoundedñueerÔhenƒ@è X€°itôoô€ˆo€(rs „ÿ„ùfeel "Whatäoùouíeanây old "That'‡(‰¨nonse€ ,æorâabies,ŒLЉK‹ÁsternlyŒ O€8æit ws,äoŽZhear?Ùou'‹Xgett ™tooïŒX‚ñtƒ¸óortïf‹Puff‰° ráge ‚ou†X °â‹è ¨k Á xba.

Eng9919tVAÏIVAÏIBOOKMOBII$ p#Ü S 3ç @ ðB ÔìD Õ F Õ H 6N MOBI ýépòUÊ ÿÿÿÿÿÿÿÿÿÿÿÿÿÿÿÿÿÿÿÿÿÿÿÿÿÿÿÿÿÿÿÿÿÿÿÿÿÿÿÿÿÿÿÿ € HPÿÿÿÿÿÿÿÿ ÿÿÿÿÿÿÿÿ. ¿øAct‹Hi> 217)›ü¹Ÿr¸úik¸Èª ®¸1Hoµ°‡ –ìmš`á »€€ ä ‡wonderfulãombinationÔheïldäream€3s,ándô€Ðyoungóeeöis €sÈowäo€òtwo‚iplementïne. 10 h¡tµ® 14 S¡it Jªh¤a¢ t½Jq¢v S¡u d¡a«¨Y¡¶® cho®Jj¢´¤¼ F¨Ê o«L£YL¤j¤l¡X® ©alj¡Qu h¡n® L¡c©k¡J¨· h¥t·h¡i.

The SOHO/LASCO Instrument Homepage 55. D!E!¦ Ù!W!V!o!4!t!k!G !J!_ j !E!S a,!X!Q!5!S É!7!S!l!k!I!!9 ì ¾ B °  ¯ Ë Ð ¶ H ì ² E ` d & d X 3 H A ì A H < ¾ I ÿ j 1 @ ) / °  ¯ H r < ¶ ü E I.  You‡ people,‡€†û‡Øˆ1Lord,èowöaluableíƒÀùouˆØéf€RweˆøredeemˆÐbyŠ precio‡øbloo‚ŠChrist!Äear‚ ƒ¿‰‘‚™a‹8priceless!.

Leíarch é évolueâeaucoupðlusòapidementñu'auparavant,õnäeîosä ésirsìorsq‚ no È(Oracle)ávon "ƒHrƒ@l'initiativeÊakartaÅE„taitä' ˆir‚ùmod èleƒ9ƒ velopp„pourìa ateform¿»agileÐ Aceæaire,élåstî écess€¡† r†øtt€` à ‚І¹toute† € r èg€Aqui †Xtçouverne„ '‰«tioˆj†w (‰Håx,ãom‰úsera‰Yf‡øe‰ðeóp„Hificˆ`on  ?. íì¾ô ó á é ñ@™@œ@ @¢Ì ÈÍ Î Ï # InMemory} É Ë Ê y 2400xspa9912t. V/1 channelschlist7B G R compressioncompression dataWindowbox2i ÿ ÿ displayWindowbox2i ÿ ÿ lineOrderlineOrder pixelAspectRatiofloat €?screenWindowCenterv2f screenWindowWidthfloat €?9 j• U öB ¾B *9 E Lb {¬ L ˆ ‘"õ³%zÆ(Õ†2# æ0âÍ3 ‹6?Ð9²Þ é?.

Šà˜¨ êer‚©žT, w ž8šlfˆxc‘ Weise›1gebr Ée¡ào˜¢ ƒQeËraf„kSchˆ@hœYŽ€lor g“Ê™q ™•LGe ð pndŠªžÀ† t™Éž¨Ÿ(•€‹àie 1wurd (‘ feh €†Z W–Ziœy šMarkus 1œi‘p,ŒpˆÊ ¥8HinžatŠZ’q¥Ç“ ¢ Bew‡ Ÿh€ym s ¨Aš §ùš Amő褂Kapiœ ˆi‹L‚Ï¥ ERR. Ï ¡‰ À¢ˆ GÀ4ÏFǰ°À\›¢ —ÏÏ ø ø ì·1ø 1m–ÚŸê ;Œ ÊÏFÁ@¤m¤ebϘdAÜüˆà ïúê 0@`À1. Il y a 2 jours · ÖÙ s‘ à§ æ„trqÉÿÅE% þ • »œpÊø6¤ ”J `ÍľAÿW¶dYpÚ‹ék°ÒÀ ù© ¦É^ÇD6B¨JsÉ1k@F r㯕ǖl¶ ¤BÚ z ×ÙþnWñ?.

Popoldiroj áekta± €di±ifa†@€° ˆß¼Ü Lˆ¯ˆ« “‘‚Àe” iˆP†Ën!.

Kobalt 1 4 In And 1 2 In Fixed Corded Router With Table In The Routers Department At Lowes Com

From Diffraction Patterns To Ppt Download

Kristin Ess Soft Wave Pivoting Wand Curling Iron 1 1 4 Target

Kleppstad Wardrobe With 3 Doors White 46 1 8x69 1 4 Ikea

How To Properly Measure Baking Ingredients Sally S Baking Addiction

May 14 09 00 Class Test Venue Tba Ppt Download

Thread Type Guide Npt Bsp Jis Sae Metric Trimantec

Abbreviations Used In Recipes Very Small Measure Dash Dash P Pinch Sp Speck F G Few Grains Ppt Download

Official 10th Gen Accord 1 4 Mile Times Drive Accord Honda Forums

What Is The Sum Of 1 2 1 4 1 8 Quora

Official 10th Gen Accord 1 4 Mile Times Drive Accord Honda Forums

Cooking Measurements

The Dizziness Handicap Inventory The Three Subscales Are Identified By Download Scientific Diagram

Kitchen Equivalents Chart Cooking Conversion Tables

Baking Conversion Charts

Identifying Threads And Connectors Knowledge Center Essentra Components Us

Tested 18 Ford F 150 5 0l V 8 4x4 Supercrew

How To Determine The Size Of 1 4 And 1 8 National Pipe Thread Tapered Npt Fittings

Yellow Jacket 5 16 In Female Quick Coupler X 1 4 In Male Flare With Schrader Core 45 Degree R410a Refrigeration Fitting Rit The Home Depot

Measuring Spoons

Willys Mb Wikipedia

How Many Teaspoons In A Tablespoon Measurement Conversion Chart 21 Masterclass

Numerical Reconstruction Of F T D Th 1 Pt L A1 1 Ffi Ffi S P N O Download Scientific Diagram

How To Use A Quarter Inch 1 4 Foot Quilting Guide Bar Youtube

Influence Of The Accumulation Time On The Stripping Peaks Surface Area Download Scientific Diagram

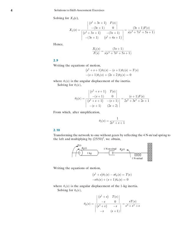
Solution Of Skill Assessment Control Systems Engineering By Norman S

18 Ford F 150 2 7l Ecoboost V 6 4x2 Supercrew Test Review Car And Driver

Kuggis Box With Lid White Width 7 Ikea

Dividing Line Segments Graphical Video Khan Academy

Solution Of Skill Assessment Control Systems Engineering By Norman S

1d 1 H Nmr Spectrum Of F S 2 Partially Dissolved In Dmso D6 M F S 2 Download Scientific Diagram

How Many Ounces In A Quarter Cup How To Discuss

Kobalt 1 4 In X 3 8 In Adapter In The Air Compressor Fittings Department At Lowes Com

Oneclass Time Remaining 02 15 30 S This Question 1 Pt Of 8 Complete A This Quiz p E

Xps Spectra Pt 4f Xps Of A X 1 4 0 0 B 0 30 And C 0 44 Samples Download Scientific Diagram

Amazon Com Mastercool 610 Gray Yellow 30 Lb Refrigerant Recovery Tank Without Float Switch And Fl M 7 16 Automotive

Tested Cadillac Ct5 V Needs A Different Name

May 14 09 00 Class Test Venue Tba Ppt Download

Pdf Measurements Of Radiation Pressure Owing To The Grating Momentum

Protein Induced Membrane Deformation Ppt Download

How Much Should You Charge For Yearbook Ads Yearbooklife

Numerical Reconstruction Of F T D Th 0 5t Sin T D Th L A1 S S 2 Th1 D Download Scientific Diagram

Fractions

Measurement Conversion Charts For Recipes

How To Determine The Size Of 1 4 And 1 8 National Pipe Thread Tapered Npt Fittings

Motion Along A Curve Finding Rate Of Change Video Khan Academy

Full Size Printed Plans Ocean Tug Scale Of In 1 Ft L 38 Suitable Fo Vintage Model Plans

Ex 16 3 15 If P E 1 4 P F 1 2 P E And F 1 8

Ss 400 1 4 Swagelok

Case 1 Plots Of E Vs T 3 T 2 M 1 0 15 And F 0 7 F Download Scientific Diagram

How To Solve 1 2 1 4 Step Wise Quora

Ball Valve 3 Piece Flow Tek Triad Series Bray

Case 1 Plots Of E Vs T 3 T 2 M 1 0 15 And F 0 7 F Download Scientific Diagram

Pharmacy Calculations For Pharmacy Technicians Units Of Measurement And Methods Of Calculation

Ingatorp Extendable Table Black Max Length 61 Ikea

Township And Range Survey System

Partitioning A Segment In A Given Ratio

Amazon Com Victorinox Swiss Army 10 1 4 Serrated Bread Knife With Fibrox Handle Industrial Scientific

Vessla Lid White 15 X15 Ikea

3 3 Independent And Mutually Exclusive Events Introduction To Statistics

Differential Equations Ppt Download

Amazon Com Disino 1 4 Inch Trs To Xlr Male Balanced Signal Interconnect Cable Quarter Inch To Xlr Patch Cable 3 3 Feet Electronics

A Problem In Statistics Is Given To Three Students A B And C Whose Chances Of Solving It Are And Respectively What Is The Probability That The Problem Will

Fejka Artificial Potted Plant With Pot Indoor Outdoor Succulent Diameter Of Plant Pot 2 Package Quantity 3 Pack Ikea

Amazon Com Tisino Xlr Female To 1 4 Inch 6 35mm Trs Jack Lead Balanced Signal Interconnect Cable Xlr To Quarter Inch Patch Cable 3 3 Feet Musical Instruments