人気の新しい最高の壁紙無料ABHD

Lawrence Public Schools All Lps Families This Tues Thurs Lps Is Issuing Every Family A Device To Support Online Learning Go To Nearest Lps School From 8am 2pm On Following Days

Easter Celebration

Health E Arizona

Carne Cerdo Picada Hacendado 500 Gr

Para Vivir Bonito No Es Necesario Gastar Una Fortuna Es Facil Tener Cosas Hermosas E William Morris Wallpaper Morris Wallpapers Living Room Wallpaper Pattern

Ltv Problem Convergence Rates And Effectivities As A Function Of N And M Download Scientific Diagram

Model Solutions All Uncertainties Are 1s N A Not Applicable N E Download Scientific Diagram

April Newsletter Hat Day

Facebook

Pizzeria Mozza La

Photos New Guardians Of The Galaxy Mission Breakout Wishables Plush Blast Into Disneyland Resort Wdw News Today

11 Variation Des Compacit Es Locales En Fonction Des Hauteurs Des Download Scientific Diagram

Calameo Preguntas Verdadero Y F

Should States Regulate Marijuana By Its Potency Some Say Yes Wavy Com

Digital Library Image Details Exat61 Exaton2293lb Rev0 Es

Sureau Commun High Resolution Stock Photography And Images Alamy

Barritas Special K Chocolate Negro Kellogg S 129 G 6 21 5 G

Facebook

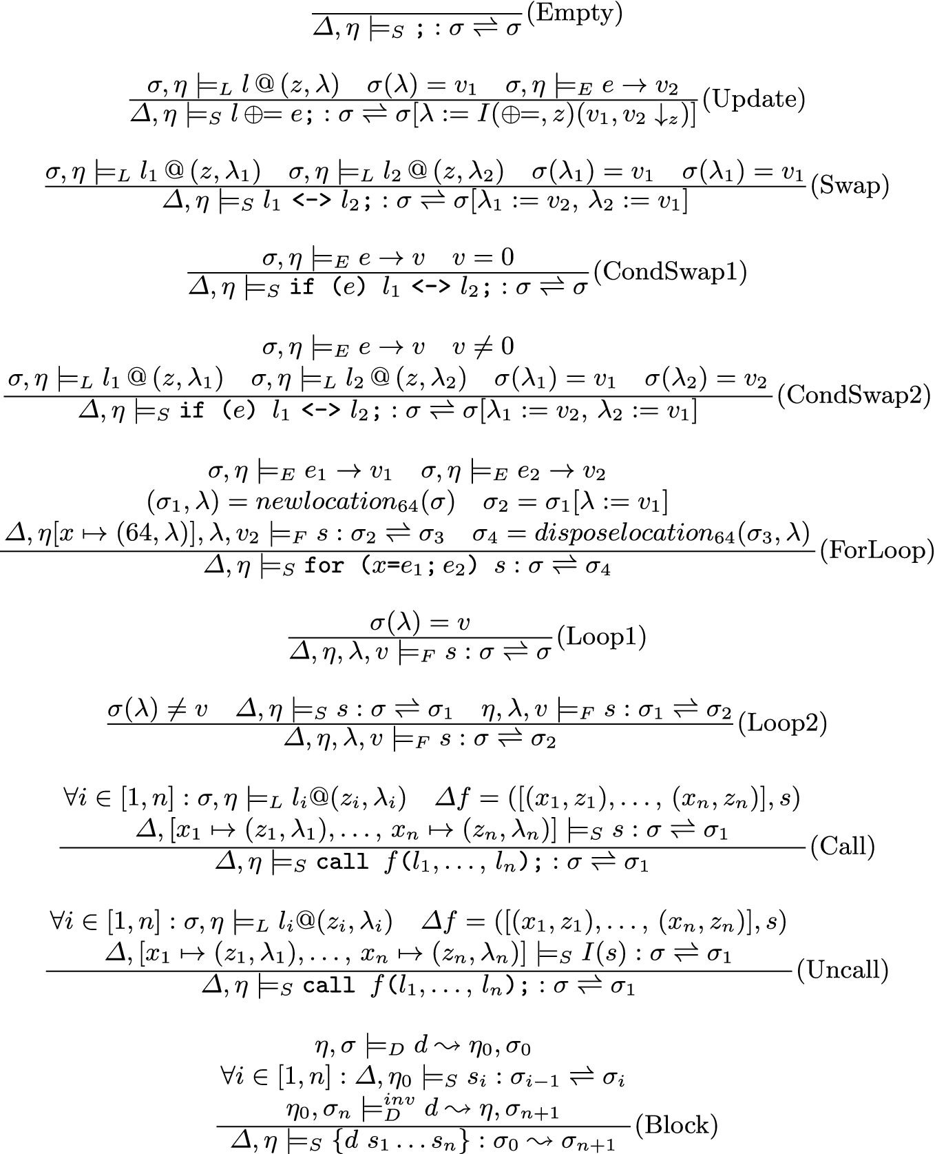
Hermes A Language For Light Weight Encryption Springerlink

Eqc1rli5bi8b9m

E Wikipedia

Rxysa Av1 Daikin

Puzzle Answers Ga Foods Healthcare Nutrition Delivered

Vacaciones En Familia Mas Que Sabrosas En Oporto Sabroso Oporto Se Bueno

Eurocidade Chaves Verin Aect Photos Facebook

Es Setif Wikipedia

Page United States Statutes At Large Volume 75 Djvu 1056 Wikisource The Free Online Library

Survey Of Oyster Bars Queen Annes County Maryland Description Of Boundaries And Landmarks And Report Of

24 E L En Fonction De R Pour Des Impuretes P Ou B Placees Au Centre De Download Scientific Diagram

Kensington Mp15 Magnetic Privacy Screen For Macbook Pro 15 Inch For Sale Online Ebay

Cancilleria Venezuela Jaarreaza Their Despair For Fulfilling Washington S Orders Is Such That They Are Exposed As Soon As Ivanduque Arrived From Washington He Built A False Flag Against Venezuela

E Talking Laksa Blue 04 Boomkat

Funko Pop La Casa De Papel Tokio Limited Chase Vinyl Figure Toys Games Action Figures

File Poster Formacio Talleristes De Viquipedia D Amical 03 04 Jpg Wikimedia Commons

16 Distributions De Temps De Fission Associees Au Noyau Compose Z 124 Download Scientific Diagram

Solved Table 2 1 Probabilities Of Occurrence Of The 26 L Chegg Com

Buey Gigantesco Giant Ox Kaldheim Khm 11 Scryfall Magic The Gathering Search

Neutra Sans Typeface

St Ha Which Of The Following See How To Solve It At Qanda

Mercedes Benz E Class Wikipedia

2 Sec Quimica 26 04 21 Youtube

Manual De Homiletica Curso De Formacion Ministerial Estudio Biblico Spanish Edition Vila Ventura Samuel Amazon Com Books

Mobileread Forums View Single Post New Dictionaries For Kobo No Limits

Matematicoscix Matematicoscix Added A New Photo

Solved 6 A 100 V Dc Generator Delivers 50 A At A Rated Chegg Com

Index Of Wp Content Uploads Sites 18 04

Gold With Quartz Rosia Montana Apuseni Mountains Alba Transylvania Romania Fabre Minerals

Index Of Wp Content Uploads 21 04

Latin Alphabet Wikipedia

Wola Social Justice Groups Are Asking Ivanduque Un Oas Official To Support Creating An International Mission That Would Document How State Neglect And Structural Racism Are Behind The Crises Of Violence

Potential Energy E N D Th Solid Line In Kcal Mol And Reaction Force F Download Scientific Diagram

Facebook

Aconitum Lycoctonum L Subsp Vulparia Rchb Nyman Br

4 High Resolution Stock Photography And Images Alamy

Page 3 3 Tb High Resolution Stock Photography And Images Alamy

Solved 1 Plot The Lot Base Of The Given Coordinates 2 Chegg Com

Viviana Klinar Realty One Group Evolution Real Estate Agents In Miami

L A Unified District 5 Laschools Will Hold A Community Meeting On The Ascot Ave Es 93 Million Comprehensive Modernization Project This Thursday April 11 At 6pm In Ascot Ave Elementary

Free Covid 19 Testing Event Fourth Plain Forward

No Sabes Que Regalar En San Valentin Aqui 6 Opciones Para Sorprender A Quien Amas Cnholistica Febrero Amor Lamberts Suplementos Belleza Salud V Map

Datos De Hf En Zircones De Granitoides Permicos De La Sierra Pinta Nw Download Scientific Diagram

Salut Wine Studio Barcelona Spain Facebook

Fs05 Fo Rt R R Ro U Ef Pe Ne Er Rti En Es Y 10 Package Information 11 Revision History Version 1 0 1 1 1 2 1 3 1 4 Datasheet Fs05 Fortune Semiconductor

Chuleta De Cerdo Sajonia

Fundamentos De Metodos Matematicos Para Fisica E Ingenieria Evguenii Kurmyshev Pdf Pdf Txt

Calligaris Westchester 04 Accessories 17 Page 6 7 Created With Publitas Com

Summary Of Characterization Factors Cfs Impacts Of Perturbations On Download Scientific Diagram

Psicologia Policial Deteccion E Intervencion En Maltrato Y Abusos Sexuales A Menores

Summary Of Characterization Factors Cfs Impacts Of Perturbations On Download Scientific Diagram

Bica Utila More

Figura2 Interfaz De Carrot2 En Linea Download Scientific Diagram

E Wikipedia

Garden State Bulb Hos19 04 User Guide Manualzz

Jasper County School District

Topeak Tt9850b Omni Ride Case Dx Ridecase Mount For Sale Online Ebay

Fustinana On Your Mobile

Marchand Expedition High Resolution Stock Photography And Images Alamy

File Exposicion Temporal Lgbt Identidad Amor Y Sexualidad En El Museo Memoria Y Tolerancia 04 Jpg Wikimedia Commons

En Allegeance A L Inconnaissable Une Etude En Choregraphie Pour Le Flux D Energie Sol Oosel Umor Rex

Facebook

Fundamentos De Facilitador E Learning 04 19 Grupo Celac Honduras Flickr

Carne Cerdo Picada Hacendado 500 Gr

April 1 Official Census Day In Cameron County Cameron County

Mkt 500 Lecture Notes Fall 18 Lecture 8 Null Hypothesis How Do You Know Statistical Inference

Education Archives Era Edta

Telva Spain

Events Dolores Huerta Foundation

Solved For Each Alignment Determine A The Minimum Desi Chegg Com

Solved 4 Consider The Following Recursive Definition Ba Chegg Com

Antianemil Testimedul Lada Laboratorios Aliados De America S A Wellcome Collection

Adegreewithaguarantee Com Desktopmodules Mvc Adwg Modules Findcolleges Uploadedimages

Claremont Es Claremon S Steam Night Noche De Steam En Claremont

Facebook

Burger Meat Hamburguesa Pollo Product Es

Mailing List Bug Fix Indented Lines In Translated Emails Confluence