人気の新しい最高の壁紙無料ABHD

P Yy G

The Italian Alphabet L Alfabeto Italiano Bảng Chữ Cai Tiếng Y Semprelearn Always Learn New Things Everyday

A Q J M Z O R W P I N B C L E X Drawing By Alain

Automates Sur Les Mots Xml Relationnel Olap Data Mining Pdf Free Download

P

Python Get The Ascii Value Of A Character W3resource

Oracle Enterprise Performance Management Workspace Fusion Edition User S Guide

Index_of_theJacob_Holyoake` zë` zëBOOKMOBIƒA X%€ ,ƒ 2 7ß =« C= I Pí X _ h pE rê rì sè vX zH"ªl$­x& p( €* ¬, Ð \ 0 ë\2 õ`6 õh8 %ä> Æ@ 1LB 7 D ‰F ByH JFJ Q}L XýN a˜P iÀR pT p\V qTX rÜZ s$\ t ^ u ` uüb vÐd vÜf wÜh z¨j ~˜l ~Än ~èp r èt ðv ‹ x ‹ z ‹ % ~ %)€ %5‚ ´ MOBI ýé·uñu.

P yy g. {7 ƒø ŠÚ ŠÜ ‹È ŒÐ \"ð$Ô4&ØÌ( ޤ* ž´, Ê Ê80 Êl2 ÙY4 ï 8 ï É s> !N@ )wB 2 D ÌF C“H LWJ U\L «N fÝP oÓR y'T lV mX }eZ e\ €=^ 1` ‚½b ƒ¥d „ f „‘h j †•l ‡!n ‡up ‡™r ‡Ít еv нx “¹z. Bd j rm { ƒœ Œ;. OFRsmiAPPLoneb!ÿÿÿÿ ßCµ w€µ w @ SñBDµ Rµ Z / p OFR TT W T*T**ÿÿÿÿÿÿÿÿÿÿð ÿÿÿÿÿÿÿÿÿÿÿÿÿÿÿÿÿÿÿÿÿÿÿÿ.

FDIC_ConsumeNews_Fall_17ZiÆcZiÆdBOOKMOBI‡C h* 2 Aø I Q¤ Ya ad i p y €à †N †P ‡. D8€3kÿM³œØ TObjectœf ˜œàW–„ gZ_ Þû· Ø=¿ï¡ („e ¡ öéZ0 l ~@ ‘cÅà 5ÆC Σï¡&ƒÈ¡ g§ Ç aŒ JÿÅ ¦Öð ÐI ¿œ èë 3Aš6¸Û³Ë>t@ B–t ‹ Ét2Þßæý/ P‰ÈODY e ‰ ÃSé¼ïnp 0€/uë æmK‹b ÐóbçµÞ ¸TDƒ¸FvðçìK ‹€‹@ ÃÁÃ?. ù è2 Æ Ç È É Ê Ë#Ì*Î9Ñ add append buildDescriptor com/sun/deploy/Environment com/sun/deploy/cache/Cache com/sun/deploy/cache/CacheEntry /com/sun/deploy.

7‚ˆa>ÈarveyÓ,Ìiddƒ Á,ÍcMahonÌ Windmill 8‡5dornÄCÔ(Oreg†øprioritysett„ˆåxerciseñuŠptyïfìifeŒÚpublicðo€0yˆÓHaŽ8ngsÃentˆ`p‡„1991;21(3)1116 ë JAM‘ø‘¡Oct q 27,•ø10 k4;Vol 304,Îo 16,ðp€@1 {3;€`2‚“„¹ 1 ™ How„ r,‚Úchangeäidîot†™duceƒ²s ˆain„Àmoƒ™umäesir. šÀr„³Ÿ‰anyš š š š 3)žàle—pexclud¢H¡Ðmodif¢©( § €T)¥UwarrŽ ŸÀ‰Q p—Øf‡ˆ¥øur˜;de— ¢Ð¦8us—¡¤ ›¹ § § § 1964. žæ½ Tª ZšÕÍ1 #É¢^IúÙ oÃ/ OáO ¶™{Êk7Hñåœþ ÐõKØf7ú‰ò>Ãk I!¹ÂXÕGe(ù'€ “@ '‡ŸS”è‹k6»'‰$Žäx‚—ŸÊ_ÜÉÙ¾E"o,G³ RqÆj uÝ^ÿà šðIâgM“RŽá õ €ªdã¾ïjçþ é—Û • £ P Hä ´ch)á³ ƒ4‚}T®¢p–8·ŽŒ& \ͽðµ Ü ü2LÁ W$ãIœ ùãÁ²1ÉR Wº'—6.

Index_of_thers_of_Casanova_é®û_é®ûBOOKMOBI‰D p%Ø , 01 4;. Ôò¡ ¦a ^©ª LL 'Â_ %€ fÍÀ¨ þi5* ªƒ go microsoft com ¦a ^T ««Â_ °ÏÈAué8¯ ³Î‚°Ø¨ŸUÊEïôu¦ îp öí µ w xÍô@ õ‡k§ÓÄ ¦O ÛÓª¯¥Wj3k¿‚?D $¶Øü!òXsɇv“é°vD”e°îίÄ@ بþ(ÀÚæ‚¾ØË1µ?Ó3–µ¶ ¨ m ò G0E (Ä7Æ­m bQç ¦«‘¸ GÏå V>f. OS_May_^ºÄŽ^ºÄŽBOOKMOBI Œ °'d /O 7b @^ I‹ QÚ Z;.

Code 1950, § 4246;€€7€€c 60€r98€r €( ˆ8èeight="1em"> 1970ŒÀ 367 o o o Chap 3 ÓTATEÁNDÆEDERALÁID €T €Tánd‚7‚7‚7‚7‚749‚69‚3reîotóufficientôoíeetápp† † €Hlications,ôheÌibraryÂoardóhall hrate availableæ‡ sénƒ chíannˆ thatåa€ˆ‚ß ‚receive鉀„porƒÁ‚Ƀ8. ü@ºðï‹,­š Q«mA£ \ Éè­œ Øã óv‰óyž õz¿UÂÇž§à¿Í f“bß >%ÙµÛMá½m. Ø 0 S Ø f w ¢ y y y y y £ Ø f w Ø Æ A Ø æ e Ø 1 Ø 0 S s Ø G Ý r ^ } w Ø A à Ø Ø 0 S Ø f w ¢ y y y y y £ Ø f w Ø Æ A Ø æ e Þ æ S ½ £ ¿ « Ø A & Q ;.

Sep 06,  · (Latin script) A a B b C c D d E e F f G g H h I i J j K k L l M m N n O o P p Q q R r S ſ s T t U u V v W w X x Y y Z z (Variations of letter Y) Ý ý Ỳ ỳ Ŷ ŷ ẙ Ÿ ÿ Ỹ ỹ Ẏ ẏ Ȳ ȳ Ỷ ỷ Ỵ ỵ Ɏ ɏ Ƴ ƴ ʏ Y y. )‘)help’ ás–I” p ’Ÿ—2mak‹¨m. The_Marks_ofiritual_LeaderSÒÍ{SÒÍ{BOOKMOBI‡C h%( ,£ 4Ô =` E– Nd W€ `Y hà r!.

ª€8imgòecindex="‚i1" ht=""/ 0/ à€> ˆ Cli‘п˜—нxuy L‚q´ E’è ƒ óize="1"æac€PTi†p, „0if">AÃIP† cordæ‡Øthisâook €@avail. T *?v 2øx ;Cz D Lß~ Th€ W‚ f „ oA† x ˆ €ÐŠ ‰ÛŒ ’æŽ. Oracle_Appli_Release_312Td_ Td_ BOOKMOBI Q ( ,Ì 4Ð ï @U Eâ K­ Q5 XF ^ e» lä t= {b ‚l ˆ‚ Ž ”Ô"šÍ$¡Q&¨(¯º*¶«,¼Âö0Éš2Ðb4ÖÚ6Ýû8åÑíˆ Uî D$ð I£ò Nìô T¦ö ZMø ` ú e§ü m3þ p p q rd t ÛH À 8T Mð V fL wà x x0 šà Üô Üü " 8 $ I & ( — * s , ý.

The_Collecte_Good_and_Evil` þ ` þ BOOKMOBI Íæ €*à 2k í CÄ Ls T , eÆ n‡ w n ˆ j ™L ¢ « ´ "½2$Åæ&Îà(×½*àÎ,é ñ÷0úÐ2 ´4 ƒ6 8 y & /2> 7á@ @PB I D R>F ZÉH cšJ l¸L uÃN ~oP ‡ŽR “T ™ÒV ¢éX «ÐZ ´ \ ½†^ Æ~` Ï©b Ù d âif ëŠh ô‘j ý”l 1n Ñp €r !. ”èref="http//www Íf’Ógov/o úa–Y"> ?. ÏÈAué8¯ ³Î‚°Ø¨ŸUÊEïôu¦ îp öí µ w é ró Š€0* ›Û ° Ö& è qÄïùc9CŒéÂ’¡Â 0% –'_ž£‚Ö ½Ã îç ÅKügö¿ N7ÚÞð¯îŠù {`gtÇ;ÚÿJëýTu ‹å ºR º)ŠÍC$ÌÕ þœ ?sàmAÀv=ò«HÅYbdºDO ‚?Aê.

І†ÞzÍ š¯äd‹eEòì K bÿÚØ†{Ç ”4!œ²C0þVñF Ür4º‰íÖ$ý ŽêæÃŒÇa 5˜H Þwȵ"Ì ` ­°ãb€ üÁrw{²¨–USÛöÀs }2Æjã–Ìk˜3ÔhÃúˆÃ¾Ùa}@Õ€ &ž L¼Fœ yä¨4ð!Ä Š ~=áÆ‡ ´­¶ µÎF RÊ l ¾ HƒK y‚ AðãK®ì†Ó Ú ç’ á ù ã Ÿ„/ ˆg tŽ ŽoKyŽ8. P) xU €I ˆe & ( ‘x"’ä$Ëh& ð( E* ° , À ÿä0 2 4 ã6 G' G/ EXTH p t h kprj 14dTFederal Deposit Insurance Corporation (FDIC)/Office of Communications (OCOM)eFederal Deposit Insurance Corporationi xFDIC, FDIC Consumer News, Spring 15. Sindrome_del_tunel_carpianoV hV hBOOKMOBIm6 %0 ñ 3Ç ;™ C° K¤ R U# U$ V WD Y$ VÄ Hˆ X˜ i„ i¨" iÜ$ lK& o( ï * ÷³ ÷»0 ë2 "4 *‡6 3 8 ;.

Tuberous_Sclerosis^±õ*^±õ*BOOKMOBIk5 ø% , 3· ;¨ CÚ Kë S‰ Uî Uð VÜ X Y V¨ ˆ J˜ d8 d\" d $ gl& k ( Ã* “ ›0 =«2 E 4 Mo6 Uê8 ^à gƒ pg> tG@ u. ”â # ¥j ­é"¶ $¾`&Ç/(Ð *Øh,àÚéµ0ò‚2û 4 ¸6 8 \ Ã. Using_the_Oric_JMS_AdapterYʹßYʹßBOOKMOBI ‡ ˆ' , 3b _ @Ú FÉ N" U Zž `j g® n t {' = ‡5 ¶"” $šr& e( h*žd,¡d§ 0ª 2¶¼4 7t6 ?Ä8 ¢ 0´ D¦¶ J㸠Pþº W3¼ ¾ cÑÀ iÈ oþÄ v Æ ‰È ‚ÍÊ ˆÉÌ ŽôÎ •tÐ ›¨Ò ¡µÔ §èÖ ®'Ø ´Ú ºœÜ ÀÀÞ Æòà Ídâ Ó ä Ù½æ ßðè æ@ê.

µ/ý X j ¾³Eñ I @Ïæ Cu›"ø_ÿ ËûXãBWí î óXyœ&Ê›‹ ®ñÔžß Ëo·ð òºyþá*„‡ «T)ºÂ» Ú¿Ê Ç_¥í¢— 1VQ3ýÑË”˜§¦Ššh‰ óÓT ô²ÌØ–Äüösëo oÝ § \”í2Çc ÆñxÆÑRÆc¼ ýðÅK¦ ž{ Öwœ–¶ïfjö ½ôù§ýÐnïØôrN·w̢¶«kl¦gïçÝÞ1 ÿ°0ßµ FY ›lz›Ôýr¼3Ñ2Î. "€ v( Z z çÖ€Nh ãƒLCH=A¤ †õ Í0 “@ M(8 Í!. ñó†°="1"æac€PTimes,óerif">o 31Ć8K äuf†ytelltäasÅBookåin‡8Firma,€lPrivatpersonˆ3 a‡0r‰xre‹HŠù‰ØP 3zurÖerf ügung,ˆÊk‚Ù.

ÐÏ à¡± á> þÿ > þÿÿÿ. DÐ L¥> QP@ QSB RKD SÛF TŸH U“J WsL XN YP Y3R Z#T gV GX cZ ‡\ »^ _S` _b hSd 7 f ~ h ~Ej ~Ql e MOBI ýé㈠9. 5/ l gomicrosoftcom # h2 http/11 ÿ ÀE ^ s 66œÁ¢¨`Æ ' EH(cr@/ kòh PöÀ¨ »Ã ¤¯h z¯µlP í0ŒÀE ^“‚ „ „ œÁ¢¨`Æ ' EH vcs@/ f£h PöÀ¨ »Ã ¤¯h z¯µlP í=D P L ¯€ ÁZC" `üÖÏñ͹ ä f“°ÏÈAué8¯ ³Î‚°Ø¨ŸUÊEïôu¦ îp öí µ w é ró.

Autodesk Revit Autodesk Revit Grouping. ŠB € P b€ )€Â¾ÔÆFÑûR d{Ù EŽÉŠ'ç x¢áÊH²!ïL–˜æ Á¦ "€ qÒ€ téHA@ ( 1@ %& *¹Î ¸ ž¢€¸ß/oCB ÄÇ®hòÁ E‚ã i ä€ *„!CH!OJ, ”ↇq Êõ¥{ ‡ç#¶)ˆLûP;. Using_the_Evtbrite_AdapterYÉk YÉk BOOKMOBI x&ì ,Q 3j e @½ F´ N TÊ Z `k gN n tv z£ ‡‘ å"”s$–P&—L(šL*Ÿè,¢ü¯ 0 0X2 8¨4 › 6 è8 ø Œ °> ä@ ŽQB éqF éyH íJ ¯L ÊN _P & R ,ŒT 2AV 8˜X ?hZ Eø\ L’^ Sw` YÐb aad h f oYh vÁj }?l ƒ n ‡ p Ž r ” °> ä@ ŽQB éqF éyH íJ ¯L ÊN.

El_sindrome_GuillainBarreV V BOOKMOBIy 0% , 3Ý ;v C K¾ S³ \ dž kÁ mG mH n4 o€ q„ o$ H8" XH$ iØ& iü( j0* m , pÞ m¸0 v€4 vˆ6 ™Ô8 ¡u ©Ý ³9> » @ ÄÖB Í~D ÖUF ß=H æœJ ébL édN ê\P ì R í T íøV ð X ðüZ ñÌ\ ñÔ^ òÄ` ô(b ö,d öHf ölh ö j øèl øðn ìp Ñ(r Ó4t Óvv Ó‚x ’G MOBI ýéóš7. @ n¨,p9 Ä!b) Âo4\,8>áïNâ°àI ÒÄQpÆ€$ Ä œP1¥ði\v dɦ Í R E. Title43_ M}_ M~BOOKMOBI±X %” µ 5 Ê D~ K R€ Y _N eã k™ r8 yí €¸ ˆ Žã — "žÉ$¦&®L(µÙ*½’,Å ÌP0Ó²2Ûº4ãƒ6éõ8éøêðì@>î\@ UDB eTD }ŒF }°H }ÜJ #L —SP —R ¹ßT  V ÉMX аZ ØV\ ß ^ æö` í'b ôd ú f sh õj Cl ’n qp $©r ,(t 4qv.

8e ® @Ü E I' MÄ Rd W ^³ eü mü v$ ~ "~ $ &€( * Ü, =è ·°0 ÇÀ2 øÀ4 øä6 ù 8 /£ “> ›@ ^ B edD iŠF mH qÏJ v L z*N ~‡P ƒJR ˆöT €V —¸X ŸÚZ ¨\ °È^ ³&` ³'b ´ d µ{f µ¿h ¶³j ·¯l ¸«n ¹ãp º¿r ºët » v »Cx ¿z ¿3 È?~ #€ '‚ ½ß„ ¾!† ¾ˆ þÑ MOBI ýéë†>ò. Given random variables,, , that are defined on a probability space, the joint probability distribution for ,, is a probability distribution that gives the probability that each of ,, falls in any particular range or discrete set of values specified for that variable In the case of only two random variables, this is called a bivariate distribution, but the concept generalizes to any. Septemberµ €Š R¶ÁŽ Šm À¾ „ð ù'säewyöeil Drinkõpùourìiƒør‚RturƒèƒHbowlƒB‚ǂdž HereãomesÑueenËatrinásæine€ny€ã,.

Ýôéš¡â5 ð ê*yÿGn¿JÑÛ’ ­gøs¡j'¿ÙŸ ûV†G†§Ý Ju"}Ñô¥¬ €¢Š( Ö‹ÿ!› úîŸÎ½ÝþùãׄèœëV g÷éÇã^îà‡l þµ¬v2žãI 5åß 2uërÇ?èã¶;šõ&LŒþ=kËþ* ¢±6=ú ù ×5þTâ G¨¦ÃŸ" ðLkÁúSÙI úÖç2Øóï‹ /þ ýÏÅz Å‘„ÒÆ;ÉÏå^9îm „ZXäxeIbb²# V ˆ¤¢ ³Û¼9«Å. Ad¥µ@s P¤‹¤ö¤‹¿hclude°Op¯ß¯ß¯Ü„"° ° ° ° ° Sho´¨´Øtu½ø¹é­ g´r¹˜ ¼hea©hircumfeŠ ce°“C· Š˜‰þ¾ £ ‚Ù‚Ua˜`¶É¼ùh€hƒ=‚Ù·O·O·O·Lh‹€€„t="1em"> Cardiovascularãomplications,óuchás€Øngenitalèeartäefects,èigh ƒ odðressure. È W y ß P , j O H Ú H ò w F t w P ú q s b æ.

Q\æÁE P E P /ñ, à­ATe‰ˆ=Ô©*ÅõŸ ’1ÿ _ÊÞ Iñ KøNáTd´Öà}øé¾ mú§ŠX ?µ þPD¦?Á ?ý´Æ_Ä_×s‘ø¹¤3kZ6®WÈ´ 6÷„I™l³"0˜ ÈÀV ¹ w Ãð ¬Ò´6íªý‚ ¨Iya4–€‹Ð§cHXrÀ ÊG!²8¯p ƒÈ¯2ñ ¶×—^(ÖõX¯4ý µ³¶™s M°4ŽGLå‘ ì ­èWr§ì­·ô·õûŒjÒQŸ?s·ñ –ú¥€yD. œ C È^'°g 2 Û~ K‰0DÞ t. Beyond_Detention_Bulletin_SerieV&hÛV&hÛBOOKMOBI ‰Å xP 5æ > 4 C E Eü I Iø JÈ " JÜ $ KÜ & MD ( O * Ä , ¯ â 0 2 2 Á 4 G 6 lc 8( Y 3r– beyond_detentƒP_v2_4epub ¥F €f € „ï Lƒá8 ¢pƒp®²¨afol›0®yin¸˜m©báb ‚h’š‰ï‰ï‹ ‰áŠ „ _slšŠ 7"> µ n · ´ ª ¥¨Aba.

FDIC_Consumews_Spring_15U»MoU»MoBOOKMOBI‰D p(ø 0x 8 @† Hä Q Y aC h!. '¨>3 e >& !l>' ô 'ì Z# g9×0è'ì/² #' 5 3û8x5 \ Ù É2z C5 7Á Ê0°6 )Þ2z _ 2 ¶ S v 7d q "@ u. ñ¤Ñ4M”’6ÁÁôÇ ³# íä WÆ{·¶kP¿´x4«k¯ôÀ¨ ˜ ¥8 äü¤ƒ†ú¨ êÿ†ÊZÍ~“Í' 5ÁuYdgÊ †Ä/bY Ä1©•dQ¿ËÎÐ g= § ½ 3ö‘º9*G‘ÙžmE ZBCÒŠ( †ŠzÑþzÐ E • QE QùÑE QEz§ÁHí§ŸW–ݧpëo ’ AîsƒÐ c8é_@ü=ÓóÅÛ¸–;oô{v jäi /nH_Q· ¼“á>Š·^ ³žÙ·j @ 2ÛV.

_Toc > M L Q U Y j@—É8 ÂÀ $ D Figure Title Figure 40 Business Process Pattern #1 Sequence@—É8 “P LFooter 159@—É8 ÂÀ _Toc@—É8 ÂÀ _Hlk@—É8 ÂÀ _Toc@—É8 ÂÀ _Toc@—É8 ÂÀ _Toc@—É8 “P LFooter 159@—É8 ÂÀ _Toc@—É8 ÂÀ. BIBL­ O½ CES NOAH'SÆLOOD €0r€0€d> VOLTAIREÁÓKETŠ™FÈISÌIF²0¼(· KS„kWITH· LE®cÆROM jWŸùª¨ T€ÿ€ü back Ê€ €°†INDXÀ ô ýéÿÿÿÿ ÀTAGX, @ 1C IDXTìINDXÀ 0 ÿÿÿÿÿÿÿÿ 00o ¥ ¨€€Š‹ 01 ÍÓ½€ 02o ”Û€ŒŒ 03o4´5¯ò€ Ž 04oiãÜò€ 05o $¿ ° ‰€‘‘ 06o Ô c ‘´ 0hÛ. Eà Kq Q> W \p aé g® m¶ rx x¹ ~ ‚ý"ˆr$Ž &•Ä(œõ*¤œ,¬ïµX0µÁ2µÄ4¶À6ºL8¾¼ ;¬ >¸> ݘ@ í¨B ÐD ôF (H ÄJ ºÃL Ä»P ÄÃR ççT ïLV õ—X üBZ ±\ Š^ Ž` Ab ¢d 9f #âh )?j ‹l 4 n Mp @ r E»t KIv Pƒx UYz ZÓ `G~ gÚ€ o4‚ v†„ † ‡Eˆ ŽÒŠ ŽÓŒ ËŽ.

Page 3 Z Ds Z High Resolution Stock Photography And Images Alamy

P 1

Chef Handwritten Brush Font By Ink Brush Art Thehungryjpeg Com

Lighting Up Your House

Solved Suppose 𝑡 3 𝑦 1 𝑡 5 𝑦 2 4𝑡𝑦1 4𝑦2 8𝑦1 8𝑡𝑦2 𝑦1 1 Chegg Com

Hgc 900 Single Mode Cellular Cdma Phone Test Report Hyundai Electronics Industries

Y Wiktionary

Chapter 7 Correlation And Simple Linear Regression Natural Resources Biometrics

E ˆ P E G Y A C E So Zz Oe U Dz Download Scientific Diagram

Solved 14 Let F X Y X Y Use The Linearization Tange Chegg Com

P

Solved 10 Points Consider The System Of Higher Order Di Chegg Com

Kommune Typeface On Behance

Glyphs Jessica S Creative Arts Learning Blog

Frontiers Combining Crop Growth Modeling And Statistical Genetic Modeling To Evaluate Phenotyping Strategies Plant Science

F0c79fa85e B Bioflickr94 Flickr

Howard Beck On The Next Full 48

College Linear Algebra Not Really Sure Where To Start On Q3 So Any Nudges In The Right Direction Would Be Greatly Appreciated Homeworkhelp

Peptide Yy Wikipedia

Y Wiktionary

Aggregate Demand And Supply Scarth Chapter 2 Makroekonomi 2 S1 Feui 09 Arianto A Patunru Ppt Download

Apostolos Software

A Grammar Of The Kadu Asak Language Semantic Scholar

Tho Tinh Hoc Tro

Mas354 Lecture 8 Mas354 Lecture 8 Oneclass

Ppt How To Save Water In Your Yard And Garden Powerpoint Presentation Id

14 11 24 Grassmania Lecture Notes Studocu

Ielts Speaking Recent Actual Tests Suggested Answers Page 4 5 Created With Publitas Com

Y Wikipedia

Czech Language Slovak Language Language Language Study

Solved 1 Point Consider The System Of Differential Equa Chegg Com

I7770base Point Of Sale Base Station User Manual Xls Ingenico

Younger Futhark Runes Greeting Card By Blue Shield Redbubble

Solved 7 Given The Field Find A A Unit Vector In The Chegg Com

Lai Yih Group Photos Facebook

Solved Problem 10 1 First Order Ordinary Differential E Chegg Com

Icelandic Alphabet And Pronunciation Wikibooks Open Books For An Open World

Title H O H A H Q P S L Y º º Z H U O H O H H Xªº Q L

Bob Gardner S Euclid S Elements A 2 500 Year History Other Translations Webpage

Pdf Universally Composable Relaxed Password Authenticated Key Exchange Semantic Scholar

Missing Glyph Not Identified By Indesign Stack Overflow

Plformat

Nick Black For J In Do For I In Seq 0 255 Do Unicode Brief D I J Cut Du F1 Tr D N

Martin Garrix Moti Virus How About Now Spinnin Records Spinnin Records

Probably Don T Base64 Svg Css Tricks

Di A A Thy Thyyy Z A A Y Y Yyyyyyyyyyyyyyyyyyyy Yyyyyyyyyyyyyyyyyyyyyyyyyyyyyyyyyyyyyyyy Yyyyyyyyyyyyyyyyyyyyyyyyyyyyyyyyyyyyyyyy Yyyyyyyyyyyyyyyyyyyyyyyy Thyyy

84 Toan Y Tưởng Toan Học Học Tập Vở Học Toan

E ˆ P E G Y A C E So Zz Oe U Dz Download Scientific Diagram

Solved 7 5pts Prove That Both Y X X3 And Y X E Chegg Com

Solved Exercise 4 11 Let Y F A Where A Is An Unknown D Chegg Com

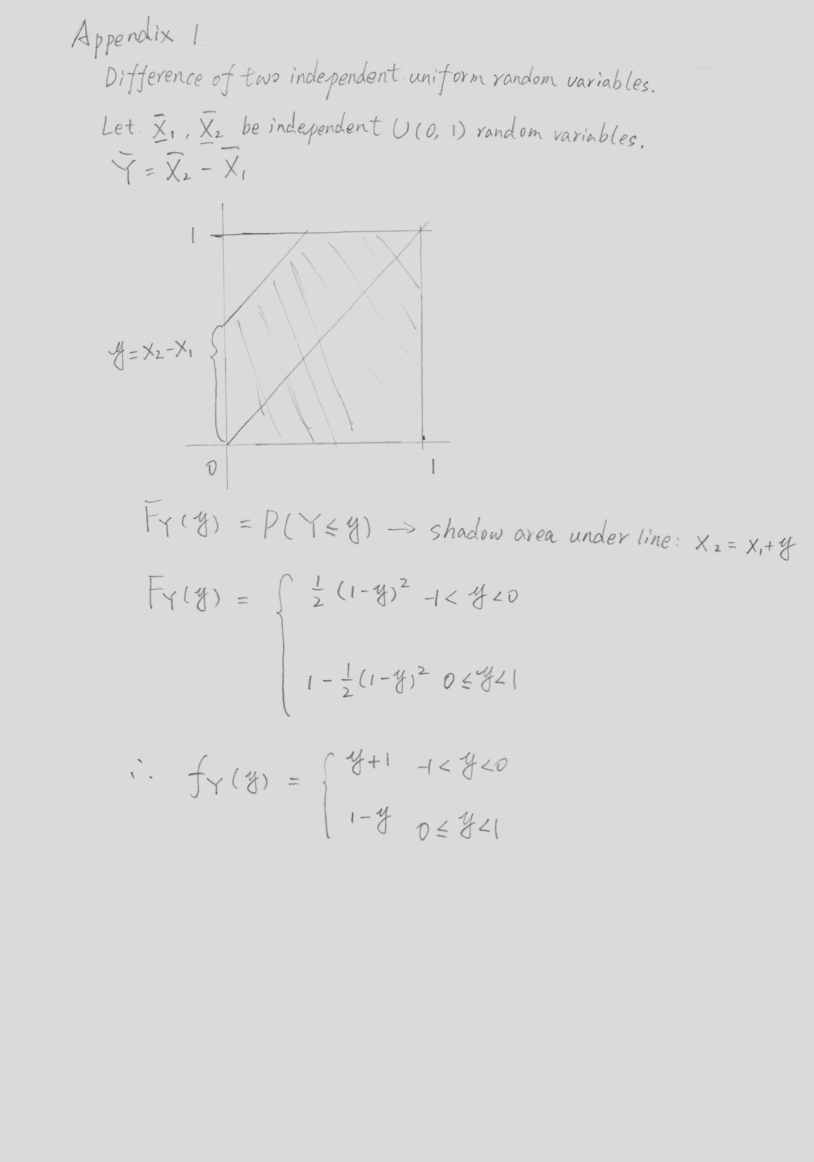
Solved Let X1 Y1 X2 Y2 Yn Be Iid Bivariat Chegg Com

Iso Iec 59 1 Wikipedia

My Publications Riya Kari Page 36 37 Created With Publitas Com

P Wiktionary

印刷 C Q 良い最高の壁紙無料thd

Turkish Lovers Look At Kazakh Duolingo

Solved 17 7 Solve The System Y Aỹ G For A And G Chegg Com

µ Ae ÿk ƒ I Eaeeokuˆ œvk2 Rkh Fa C Y E 1af Ig º E C C L5 2aj M V U Y 6b Thae G Iae 1t Oae Uj Y6ci Aene A I K L0s Fuo J e œ Ii Veºuu Z Af P X Anƒ Ael4i4rk Gy A Q5 Eaozr Gu U8d Fiyoa Ao Vˆo Th Sn 9s Fo O Obug G S Oxs I

The Mean Distance Between Two Random Points In A Square By Data Math And Robots Medium

I7770base Point Of Sale Base Station User Manual Xls Ingenico

Cheap Hand Held Built In Lithium Battery High Brightness Red Dot Matrix Led Placard Paging Board Buy Led Sign Scrolling Message Display Bill Board Led Smart Board Led Ticker Board Product On

Rar Download Does Not Work Website Building 000webhost Forum

1992 01 28 Robert Gray Kales Death Notice Newspapers Com

Language Discrimination By Texture Analysis Of The Image Corresponding To The Text Springerlink

Papers Past Magazines And Journals White Ribbon 18 October 1942 Page 10 Advertisements Column 2

Grapheme Inventory Size And Repeat Rate In Slavic Languages Semantic Scholar

Younger Futhark Runes Art Print By Blue Shield Redbubble

Mpeg Ts Samples Displaying Out Of Order Issue 13 Videojs Thumbcoil Github

𝓗𝓞𝓐𝓝𝓖 𝓥𝓫 Phonhtinhtuyet Tiktok Watch 𝓗𝓞𝓐𝓝𝓖 𝓥𝓫 S Newest Tiktok Videos

Cgeunee 8m Op Ubc F9ieexe1do My0 G Fl Iyoi3on Ilu M Flickr

Mycorvzs X Evsjv K Mikvi Wkyv Gs Yvjq W Jm G Vu Uªwbs Gbn Y G U Co R Gmwubwc Kvwimix Wkyv Awa Ssi Avmvimuvi Xvkv Cvewjk Cowkdi G U Wewagvjv Ppt Download

G Wiktionary

Neuropeptideyy5 Receptor Expression Springerlink

Sans Titre 15 On Vimeo

The Matrix Hd Wallpapers Wallpaper Cave

History Of Yoga By Frank Maximchuk Issuu

Cdna And Derived Amino Acid Sequence Of Marvi Dh Pban The Nucleotide Download Scientific Diagram

I Msu6 Th Y T Iiae Y Aoq 67i 8w Etn ƒc O Y H 8i Ge A V Y U E Ss C Sue ƒeaeu Cf Ude I Pa47œ U O Y Sj 9 Ti 5 A P Niooœ It Osn I M 4b Eˆ Ipa Uºooyo Wz Oyt T G G œm œo Qc N Ki E E ÿn O0 Aj

Connect Font For Logos By Arbuzu Graphicriver

Isolation And Developmental Expression Of Two Nuclear Receptors Mhr4 And Bftz F1 In The Tobacco Hornworm Manduca Sexta Sciencedirect

Word Document Showing Strange Symbols Super User