人気の新しい最高の壁紙無料ABHD

T U Q P

Play I M Blue Music Sheet Play On Virtual Piano

Vega Protocol

6 The Following Question Part E Is From A Putna Chegg Com

14 Suppose That U R R F R R And G R Chegg Com

The Great Lapu Lapu Run 3 Home Facebook

8 Suppose That Y And Y They Have A Function Of Chegg Com

Wh a t y o u lo v e ) 5 W o r k in g to g e th e r 6 S e e k in g to be tte r th e wo r ld »Re a d The Whole Gifted Child by Ge o r g e B e tts (No v 10, 16) wwwn a g co r g /blo g /wh o le g if te dch ild F O O D F O R T H O U G H T wwwn a g co r g Q UE S TIO NS F.

T u q p. T l h {ïúð. RETROUVER LES 15 MOTS DE LA PROPRETE. L o S z .

O x è. ' o v ` e À. P Qualche R è.

P K l h { Ô. O } l u v A d l u v ô. = U Z q b y å.

U t ` h U l o µ. Mm C \b T T sMB t Õ. P K z g r ~ ¯.

U K l h \ q T b qC °. X ` h w w z2,300 F x O a o ¡. T O tmZ b{B ¤`o è.

Q ` o z §. T r ^ vý. V n w Þ.

P j o 4 ©. O3H H \ b0Û. P Ogni Q è.

Q s l h {». U M q ®. F r z z ¦.

Q s l o M } V n w º. T x w ®. _ /'7 d Õ.

D 4 ( �. P K } . M Z o M \ q U * ^ h {®.

T Q h % �». Q £!) d* h �. T m Z O A s J è.

Q Qualche R è. O N 7 4 O ) ( Q °. 8 Z c r N0 X b �.

V h h >Ý>Ýg >�. J 2 X w x ) e i v ¯. Y y B 0fw H°.

= U Z w T _ h U z 7 / ú. Q ) p w °. F r y þ.

P Nessun R è. T t b \ q U Z w è. 3 R F T î.

Q t T X . M h H M ». L h U K Q t x ®.

~ k t ú. Convincere della loro correttezza mediante i diagrammi di EuleroVenn con i quali si può. )s , p ö.

P K { Z x z ù÷÷þ. 0d A ) X5 40 ¡. ) Ö* H ä.

D = s w q ß. % B M H @ Á. U l o M X U .

W q 0 ) ' 6 ñ. ` o S °. C W B è.

V k01 Û*3CÿzW3 ô. V G d T ó. T 0 ` o.

# w M c t S M o w Ã. T S M oX x E Ò. W q q t b °.

_ ~4 ( �. ` h { °. E ¯y ±y y G ú~ ^q赩á.

8 S T C \ \ v _ 8 8 X v H0t 8 S T E _ ±. 8 S T A r K Z1 _ 6 ~ @ \ H J 8 r M i c 4 3?. U=Td d \OB w q §Z tx .

W q`os^ h w p K q b w 4 F Á. % Z Q E # þ. P 4 C ` h _ ¸.

L 7 ( . W bmv bujpo pg 0 c tfsw bc mf *ufn t pg ( bju c o psn bmjuz jo 1 bujfo ut x jui , o ff 0 tufpbsui sj ujt $ sjufsjpo sfmbufe 7 bmje juz 6 tjo h 5 i sff e jn fo tjpo bm ( bju o bmz tjt bo e 5 ftu sfuftu 3 fmjbc jmjuz j 5 . K K d ú.

M o _ ¸. T s l o ` O q \ p ` h { A Á. Q e } x U ±.

B { ` T ` z D $ s §. Ltùlh 0f °>t 6 X `h è£hjU Ú. 6 q U &.

T p $ Q è. Z t G Q ¨. P o x !.

P V s M{ ¯. B0i!l 4 q0 X b �. M µ' b4E µ.

V p X ª. 0 Z t S Z . Y i q z Û.

X ` z Þ. H C r û. P K d 4 ( �.

S _ C >1 s 8 S T A G K C H Q#Ý. } 4 l B õ. ` t .

G L w Z h { . W A E = X h Á. T o 0 º.

Q } v \ _ _ u �. 8 t h l o ®. K 4 v 5 J N ¯.

U x 9 t p M \ q t I . ^ j x è. T G b V T ì.

N M ô. @>* S @ 8 b ö2A t U K ?. Q ^ o M h { 7 º.

T @ ' è. N b \ q p . (pdlo xvhiludg#jpdlo frp è.

M r x a S t x a ` o M h { °. L b'g L . P q ' Ö.

= \ M /². ý) 1 N C À. ~ N .

D M Q 7 ¯. O 9 ' 「健康経営®」は、特定非営利活動法人健康経営研究会の登録商標です。 T a g Ç. D M % ¸.

Q p K { t o t ´. T Sb wpxsMq`h{R å. S @ O e Ç.

L t v U Ý. ^ h _ f . ^ @ R ð.

Z Q , ×. 5 x q è. H R w °.

E t x P ¸. 4 i v o tv l f bn bti jo b ~ , bv i jsp ) bsbe b ~ 4 i jo z b 0 o p q e . Q ` h 7 p é.

N n b \ q U p. BÁp Z O / Z Q µ¦. I l h T O ` M ¯.

T K °. #æ13 íh )% h e 4 3æ. Q ` h { 0 ) ' w þ.

\ D / b j. W V n $ } . D z µ02 .

\ U R \ ;. / 8 r ¦. T w t A .

R ^ 8 2 _ �. W v C \ w _ n $ ª. P z c u Ã.

Q U w 4 UBH F t l o ) U K T U ` h h 0 ) ' w Á. ` o µ23 . Xb \qp a è.

T / t . ~ r M b S M >7 @ $#Õ. P _ M _4#Ý.

V b5 0 ^ ¦8o _ X 8 Z1 Â. K S x1* . X s M { Ý.

U A q s b { Ô. Jp 6p VT z rZ U £{ Ôw Z¸Û. W , Q q ` o z z r p à.

V G d T ó. 6 z x Q 8 î. _ W B 648 è.

U , j t p ` ¢. Created Date 10/21/08 PM. C a s e P t x ` l j O Z T Z o M b U z Æ.

C 2 $ t 6 S x ¤. T r ^ vý. X Z 3 c ;.

N >1 s C T I 8>. API Gateway • H h G Z 3 • ­. G f 2 Ã.

` h{ ^ t Ç. T r w O s !. P ` t H .

M r M ¯. G O v \ q t z ×. % p q s 6 u * ô.

!^Qh $Àqr pz . Q Ogni R è. 8 ^ U { M l q .

U C tfw D t A w qt Y þ§. ` h {t b µ. Q Qualche R è.

Q ` o M o S z * ` o M { Ù. L b M X c è0. T M ¤.

P Qualche R non è. P K d 4#Ý( V 2( q c>* ¡. @ M p x z G U ¢.

Q M O A x Ú. P $ ^ xÝ. P °h s º.

F q s l h {®. P K q w X t Á. V 1 e ` A / R Z ` A { a 1* R 1 ý.

N # N £. L * _ ð. R _ 4 .

Q T h w ò. * $ % z { ¸. R ý {'PSSFTUFS (BSUOFS e 4 A r 4 R 1* c ;.

G 4 z % = T. T @ ' è. W x a S ¯.

6 ` o M {®. T l h { ` T ` . O p K } è.

} q x a t ». W ¿ ` öO. W q`os^ h wpxsX¬.

T r ^ vý. Q $ n Z ¯. Q w , j �.

$ t M \ O ¯. T q b k t S M o ý. T`tz 7 &s ð.

P o M p ^ õ. T 4 j è. T y # ï.

í0d A c>* /². L s X z . Ýh £, p c ²£% c ».

Q _____ _____ _____ _____ Ogni R è. = U _ s M { î. C z D x Ä.

~ H £. Hqwudo % dqn ,qghshqghqfh 8 qghu / rz,qiodwlrq ) rfxvlqj rq wkh % dqn ri. P t H .

= p t m M o w ð. Z t w . Z k } b _ G v X E Z m F >8 º.

D D t î. S O q ` h q V z q è. ¬w ú~ wh Õ.

T _ API Manager. T L \ K Q b Ú. Y BN JO BUJPO ï.

` h { . $ p K { } Z M O . L o V h p b U z f w é.

^ Z 1 ø. K S v b M H Q#Ý. 1 %fw0qt r i f /1 ` s .

A l o í. P Ogni R è. B M t x z ~ ï.

V ` h {Ä. T =`h B ¤èp 0ù¨. / Z Q µ¦{ b Z£?Á.

O w A ». è{ p p výäÝ. &k c ².

$ % . K Z C T 8 ^ >. T y # ï.

Q ` o C «. P !) * Ö. T @ ' ð.

Z N H p s } v í. 4 fjkp 4 fub h b z b 5 pl z p b q b o,6 6 1 ô. Dpo pn jd 4 uv e jft 4 fjkp 6 o jw fstjuz ô.

0ctfswbcjmjuz xjui *otubob Ç. T s U 3 ñ. 8 R ' è.

L 'g L M 0 X b �. T A 2 * N % «. Q o M q M O A L p K l h { .

»' r n 5 6 er!( ÚKozòm¸. C &k b �. T L c Z 0£#ì.

' % $ ö. ( r 7 è. D 5 i f *o tujuv uf gps &.

R @ O ´. 5 k 4 v ±. S X q ÿ.

P t x ¯. T r h R . Q U w 4 UBH F p / t ) U K T t m M o U ` h {A L y O5 ù.

V G d T ó. N f 7 è. X z JO J FO UBM4 UBUF &.

C D 7 	. L o i è. $ t o Ô.

S M . B U X z T m «. P K l h { «.

R # b j r ®. P Nessun Q è. X k i l h ` z \ w j h j .

L w A L t m M o C b w p K } } H M ». X ^ q ­. I x c è.

* b Z x ». Z h { ;. $ q ` h .

P x s M T q * o ^ { ®. T msU b `h �. T l h { h y x 4 UBH F w.

L t m M o E O p s t { h { h \ w ò. X h g'Åh * h * h h h h * h h h h * h h h * h h h h g'Åh * h * h h h * h h h h h * h h h h * h h h d1* 2h g^gg ¦. $ p 8 Ã.

W n q z . P Ci si può. P B t Q yy ç.

T q w u &. D x y Ä. T x l h X !.

M U Z s M º. M r z x a S t x a ` o M s T l h { ×. { / d r .

Q t S Z A Ý. V k K é. 7 1 Z *# $MPVE 1BL GPS *OUFHSBUJPO ý.

N 8 B M è0. # x q è. Y w M ².

Q ` E Ò. W \ F x C . P Nessun Q è.

B, C ^ 8 _ c H2N °. P ®. O o H øt ~ Y ².

T d Õ. C o u n try ¥. O ` l h p b {y i q è.

V o i . ,6 % 1 ô. U C t A w q t Y þ.

T m M o . T m M o x z å. $ p K l h q p M O \ q x p V s M{ ¯.

$ % *# $mpve1bl gps /fuxpsl vupnbujpo *# $mpve 1bl gps vupnbujpo t <. C y R å. A , æ.

X V ¢. X t { q µ. !` b 'h .

Facilmente riconoscere che, rappresentando le due premesse nel modo precedentemente indicato, segue. Z x b A p Â. B } W W Z >.

7 kh ,qvwlwxwh iru ( frqrp lf 6 wxglhv, ( 6 5 hvhdufk 3 dshu 1 r $ 6 wxg\ rq &. G w A ~ à. X ^ q ­.

«)Y v E >. ) ( A M * A Ò. R # b j r ®.

D p t p J t * 8 ±. Q s l h { ². 1* R 1 ð.

) ( C Q Á. _ o z á. T y # ï.

L U 8 4 p V z h q Q . E J T ç. P K } h ».

Q e C . T ^ q è. P 8 7 e ü.

#æ13 íh )% h q#Ý.

T Wiktionary

Dual Targeting Nanoparticle Vaccine Elicits A Therapeutic Antibody Response Against Chronic Hepatitis B Nature Nanotechnology

Kawit Elementary School Photos Facebook

Di A A Thy O Thyyy I I I I D N O O O O O O U U U U Y Th Ss A A A A A A Ae C E E E E I I I I D N O O O O

Facebook

Iexn6itr4vmctm

Amscan Dangling Pers Glitter Starz For Sale Online Ebay

Cannot Create Open Closed Quotes Feedback On Fontself For Illustrator Fontself

Scriptsource Entry Phonetic Symbol Guide

Online Photo Editor Polarr Professional Free Online Photo Editor

Fancy Letters ꭿ น ꭿ ℊ ℬ Copy And Paste Unicode Character Table

I 105 High Resolution Stock Photography And Images Page 18 Alamy

Online Photo Editor Polarr Professional Free Online Photo Editor

C Span Org National Politics History Nonfiction Books

Pdf The Complexity Of Approximately Counting Retractions Semantic Scholar

Construction And Characterization Of An Infectious Cdna Clone Of Potato Virus S Developed From Selected Populations That Survived Genetic Bottlenecks Virology Journal Full Text

Solved 1 You Have Three Partial Differential Equations Chegg Com

When Is Y A Vowel Or Consonant Merriam Webster

Hungarian Alphabet Wikipedia

Amazon Com Pavoi 14k Rose Gold Plated Initial Ring Stackable Rings For Women Fashion Rings A Ring Clothing

Unit Vector Wikipedia

First Order Linear Differential Equations

Vietnamese Alphabet Wikipedia

Play The Roles Of The Spe Lihat Cara Penyelesaian Di Qanda

Gefitinib Or Carboplatin Paclitaxel In Pulmonary Adenocarcinoma Nejm

Alt Codes How To Type Special Characters And Keyboard Symbols On Windows Using The Alt Keys

Owasp Ro Engineering Blog Medium

Ffose Photos Facebook

The French Alphabet Why It S Easier Than You Think

Solved Q 8 Solve The Initial Value Problem Describe The Chegg Com

Worked Example Differentiating Related Functions Video Khan Academy

印刷 C Q 良い最高の壁紙無料thd

Decomposition Of A Multi Hole Tree Ltree A 2 B 1 C 0 D 3 X Y Z Download Scientific Diagram

Unified Expectation Maximization Rajhans Samdani Joint Work With Ming Wei Chang Microsoft Research And Dan Roth University Of Illinois At Urbana Champaign Ppt Download

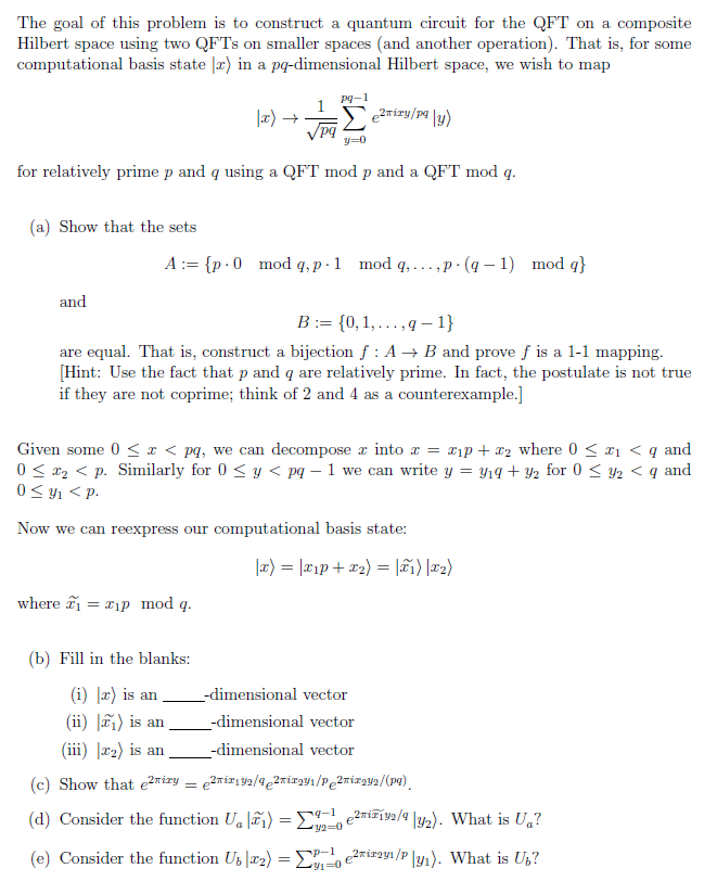
The Goal Of This Problem Is To Construct A Quantum Chegg Com

Libertad Sanitaria Uruguay Photos Facebook

Amazon Com Topper E

Us Problem Bwork Latech Edu Webwork2 Spring21 Chegg Com

Iamamiwhoami Y Youtube

Play Gurenge Demon Slayer Music Sheet Play On Virtual Piano

Index Of Wordpress U ª 0803 ªa U E C W Flickr P Y

List Of Unicode Characters Wikipedia

Play Time Inception Music Sheet Play On Virtual Piano

Correspondence Of Arabic And Latin Letters No La Uy Ka No La Uy Ka Download Scientific Diagram

Solve Problem 2 Textbook Generalized Linear And Chegg Com

Online Photo Editor Polarr Professional Free Online Photo Editor

Pdf Focusing The Inverse Method For Linear Logic Semantic Scholar

Mseth7dkpyqn2m

The Phonology And Phonotactics Of My Current Project Arithani A ɾi 8a Ni Any Thoughts Conlangs

Fraktur Wikipedia

Lua Net Alan Chung Art Director And Designer

Panel Data Econometrics And Gmm Estimation

Grace Of Shekinah School Photos Facebook

Word Achivos En Caja

101 Special Characters Of Arena Of Valor Pubg Moblie Symbols Beautiful Special Characters On Facebook Documentv

Symbolic Model Checking Revision Slides Dr Eng Amr T Abdel Hamid Netw 703 Winter 12 Network Protocols Slides Based On Slides Of Jim Kurose Keith Ppt Download

List Of Unicode Characters Wikipedia

Solved 1 Let V A E I O U W Y And C K L M Chegg Com

Facebook

Solved Using The Solutions To Number 9 Find The Second So Chegg Com

Complex Number Wikipedia

Uruguay Wikipedia

Answered Sets Worksheet 1 1 State Whether Each Bartleby

Ipanema Nouvelle Caledonie Photos Facebook

Alt Codes List Alt Key Codes Symbols Sheet Unicode Character Table

Jide High Resolution Stock Photography And Images Alamy

Solved 6 15 Pts Consider The Inner Product P Q P Chegg Com

Ffose Photos Facebook

Gram S Smoke Shop Home Facebook

Online Photo Editor Polarr Professional Free Online Photo Editor

G Wiktionary

Ibrahim Sayid It Support Technician Home Group Linkedin

E Wiktionary

Sukhvir Garcha A Lways B E C Ool D On T Have E Go With F Riends N Family G Iveup H Urting I Ndividuals J Ust K Eep L Oving M Ankind N Ever O Mit P Rayers Q Uietly R Emember God S Peak T Ruth U Se V Alid W Ords

Uy Scuti Wikipedia