人気の新しい最高の壁紙無料ABHD

Altgr Key Wikipedia

Section 5 Distributions Of Functions Of Random Variables

The Seirs Model For Infectious Disease Dynamics Nature Methods

Made With Mu A Blog To Celebrate Projects That Use The Mu Python Code Editor To Create Cool Stuff

An Introduction To Glmnet Glmnet

Beta Distribution Wikipedia

16 6 Standing Waves And Resonance University Physics Volume 1

The Greek Alphabet

Common Statistical Tests Are Linear Models Or How To Teach Stats

A New Generalized Weibull Family Of Distributions Mathematical Properties And Applications Journal Of Statistical Distributions And Applications Full Text

Generalized Linear Model Glm H2o 3 32 1 2 Documentation

Triple Combination Of Interferon Beta 1b Lopinavir Ritonavir And Ribavirin In The Treatment Of Patients Admitted To Hospital With Covid 19 An Open Label Randomised Phase 2 Trial The Lancet

Altgr Key Wikipedia

Bias Of An Estimator Wikipedia

Isg15 Dependent Activation Of The Sensor Mda5 Is Antagonized By The Sars Cov 2 Papain Like Protease To Evade Host Innate Immunity Nature Microbiology

Applied Sciences Free Full Text Optical Soliton Solutions Of The Cubic Quartic Nonlinear Schrodinger And Resonant Nonlinear Schrodinger Equation With The Parabolic Law Html

Chebyshev S Inequality Wikipedia

Alt Codes How To Type Special Characters And Keyboard Symbols On Windows Using The Alt Keys

Gamma Distribution Wikipedia

Section 5 Distributions Of Functions Of Random Variables

Triqs Cthyb A Continuous Time Quantum Monte Carlo Hybridisation Expansion Solver For Quantum Impurity Problems Sciencedirect

Chapter 3 Point Estimation A First Course On Statistical Inference

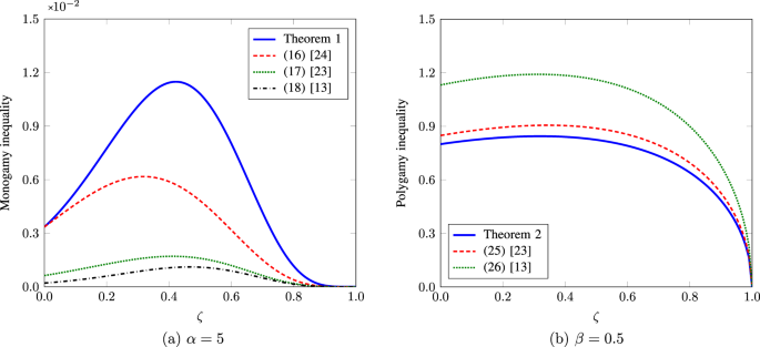
Tightening Monogamy And Polygamy Inequalities Of Multiqubit Entanglement Scientific Reports

2 5 Decomposing Signals In Components Matrix Factorization Problems Scikit Learn 0 24 2 Documentation

Pycse Python3 Computations In Science And Engineering

Section 5 Distributions Of Functions Of Random Variables

Pycse Python3 Computations In Science And Engineering

Applied Sciences Free Full Text Optical Soliton Solutions Of The Cubic Quartic Nonlinear Schrodinger And Resonant Nonlinear Schrodinger Equation With The Parabolic Law Html

Beta Function An Overview Sciencedirect Topics

Common Statistical Tests Are Linear Models Or How To Teach Stats

Simulation R Programming For Data Science

Statistically Induced Phase Transitions And Anyons In 1d Optical Lattices Nature Communications

Sars Cov 2 Nsp12 Attenuates Type I Interferon Production By Inhibiting Irf3 Nuclear Translocation Cellular Molecular Immunology

Applied Sciences Free Full Text Optical Soliton Solutions Of The Cubic Quartic Nonlinear Schrodinger And Resonant Nonlinear Schrodinger Equation With The Parabolic Law Html

Pycse Python3 Computations In Science And Engineering

Made With Mu A Blog To Celebrate Projects That Use The Mu Python Code Editor To Create Cool Stuff

Generalized Logistic Distribution And Its Regression Model Journal Of Statistical Distributions And Applications Full Text

Lhcb Large Hadron Collider Beauty Experiment

Sars Cov 2 Orf6 Hijacks Nup98 To Block Stat Nuclear Import And Antagonize Interferon Signaling Pnas

Virus Virus Interactions Impact The Population Dynamics Of Influenza And The Common Cold Pnas

Searching For New Phenomena With Profile Likelihood Ratio Tests Nature Reviews Physics

Beta Distribution Wikipedia

Common Statistical Tests Are Linear Models Or How To Teach Stats

The Neolithic Agricultural Revolution And The Origins Of Private Property Journal Of Political Economy Vol 127 No 5

Bias Of An Estimator Wikipedia

Deuterium Wikipedia

Statistically Induced Phase Transitions And Anyons In 1d Optical Lattices Nature Communications

Triple Combination Of Interferon Beta 1b Lopinavir Ritonavir And Ribavirin In The Treatment Of Patients Admitted To Hospital With Covid 19 An Open Label Randomised Phase 2 Trial The Lancet

Section 5 Distributions Of Functions Of Random Variables

Structural And Functional Interactions Between Six Transmembrane M Opioid Receptors And B 2 Adrenoreceptors Modulate Opioid Signaling Scientific Reports

Extended Bose Hubbard Model With Cavity Mediated Infinite Range Interactions At Finite Temperatures Scientific Reports

Mpwwaqaaiz0gym

4 5 The Sampling Distribution Of The Ols Estimator Introduction To Econometrics With R

Solved 8 Let X1 X2 Be A Random Sample Of Si Chegg Com

Beta Function An Overview Sciencedirect Topics

Dissecting The Roles Of Grk2 And Grk3 In M Opioid Receptor Internalization And B Arrestin2 Recruitment Using Crispr Cas9 Edited Hek293 Cells Scientific Reports

Standard Normal Distribution An Overview Sciencedirect Topics

Bryanroth If Someone Asks For Pharmacology On U 47 770 It Can Be Found Here In A Nice J Med Chem Article Typical Mu Agonist T Co Isa0airxwg

Chebyshev S Inequality Wikipedia

Central Limit Theorem

Pycse Python3 Computations In Science And Engineering

Immunological Memory To Sars Cov 2 Assessed For Up To 8 Months After Infection Science

Section 5 Distributions Of Functions Of Random Variables

Type Special Characters With A Chromebook Accents Symbols Em Dashes

Alt Codes List Alt Key Codes Symbols Sheet Unicode Character Table

Generalized Logistic Distribution And Its Regression Model Journal Of Statistical Distributions And Applications Full Text

16 6 Standing Waves And Resonance University Physics Volume 1

Sample Size Estimation For Heterogeneous Growth Curve Models With Attrition Springerlink

Inverse Gaussian Distribution Wikipedia

4 5 The Sampling Distribution Of The Ols Estimator Introduction To Econometrics With R

Common Statistical Tests Are Linear Models Or How To Teach Stats

Complex Roots Of The Characteristic Equations 1 Video Khan Academy

Generalized Logistic Distribution And Its Regression Model Journal Of Statistical Distributions And Applications Full Text

Confusing Statistical Terms 2 Alpha And Beta The Analysis Factor

Section 5 Distributions Of Functions Of Random Variables

Central Limit Theorem

Generalized Logistic Distribution And Its Regression Model Journal Of Statistical Distributions And Applications Full Text

Beta Distribution Wikipedia

Substantial Undocumented Infection Facilitates The Rapid Dissemination Of Novel Coronavirus Sars Cov 2 Science

Solved Confidence Intervals I Text Problem 11 2 Consid Chegg Com

Beta Distribution Wikipedia

Linear Resistivity And Sachdev Ye Kitaev Syk Spin Liquid Behavior In A Quantum Critical Metal With Spin 1 2 Fermions Pnas

Isg15 Dependent Activation Of The Sensor Mda5 Is Antagonized By The Sars Cov 2 Papain Like Protease To Evade Host Innate Immunity Nature Microbiology

Lhcb Large Hadron Collider Beauty Experiment

Epidemiological And Evolutionary Considerations Of Sars Cov 2 Vaccine Dosing Regimes Science

Why We Divide By N 1 In Variance Video Khan Academy

Solved Problems About The Central Limit Theorem And The S Chegg Com

Safety Tolerability And Immunogenicity Of An Inactivated Sars Cov 2 Vaccine In Healthy Adults Aged 18 59 Years A Randomised Double Blind Placebo Controlled Phase 1 2 Clinical Trial The Lancet Infectious Diseases