人気の新しい最高の壁紙無料ABHD

Icx Uux L

Hp Deskjet Windows 950c Series Pdf Free Download

Axioms And Deduction Rules For Type Checking Membership O I O I µ Download Table

Untitled Physics Manualzz

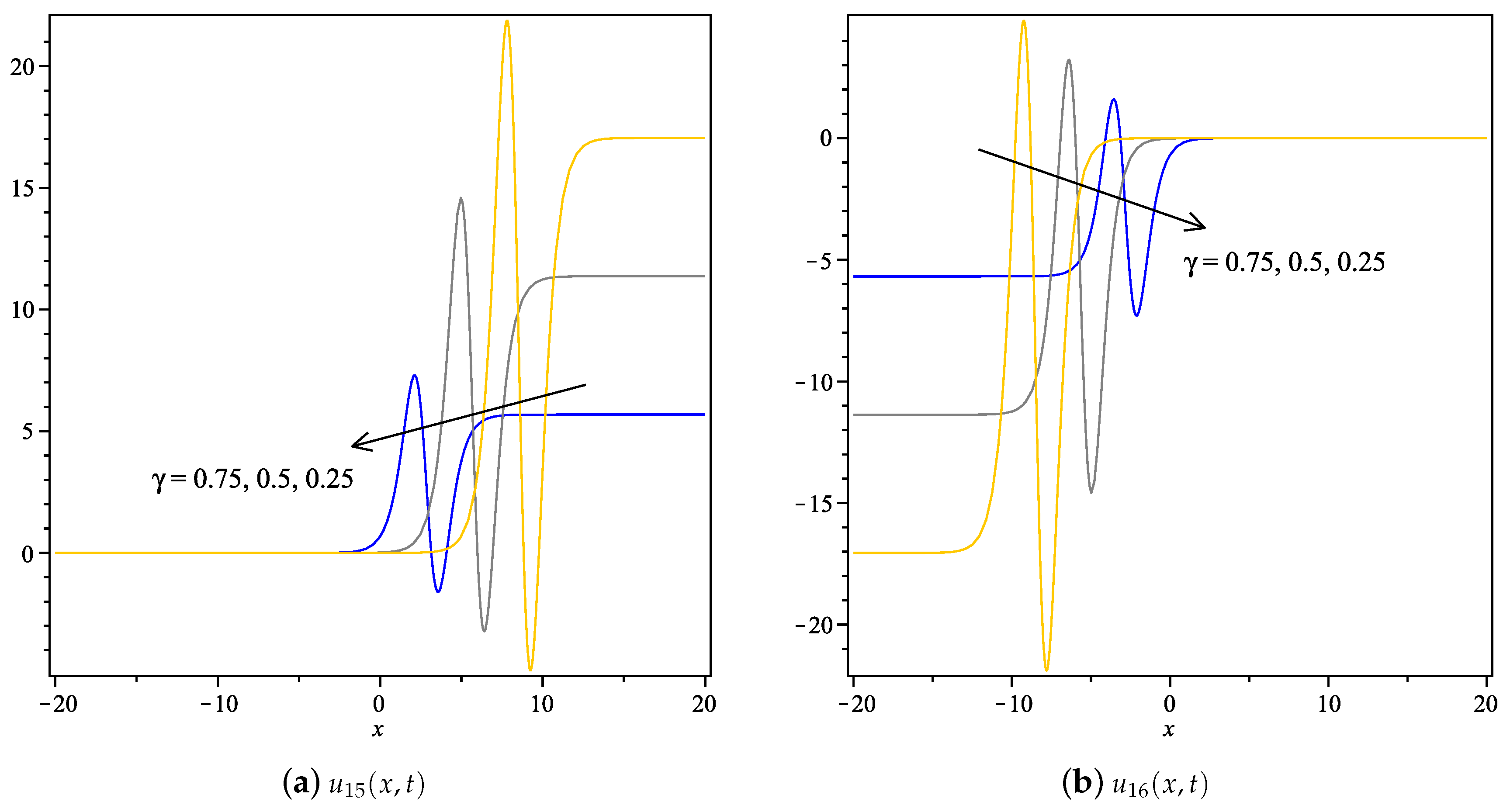
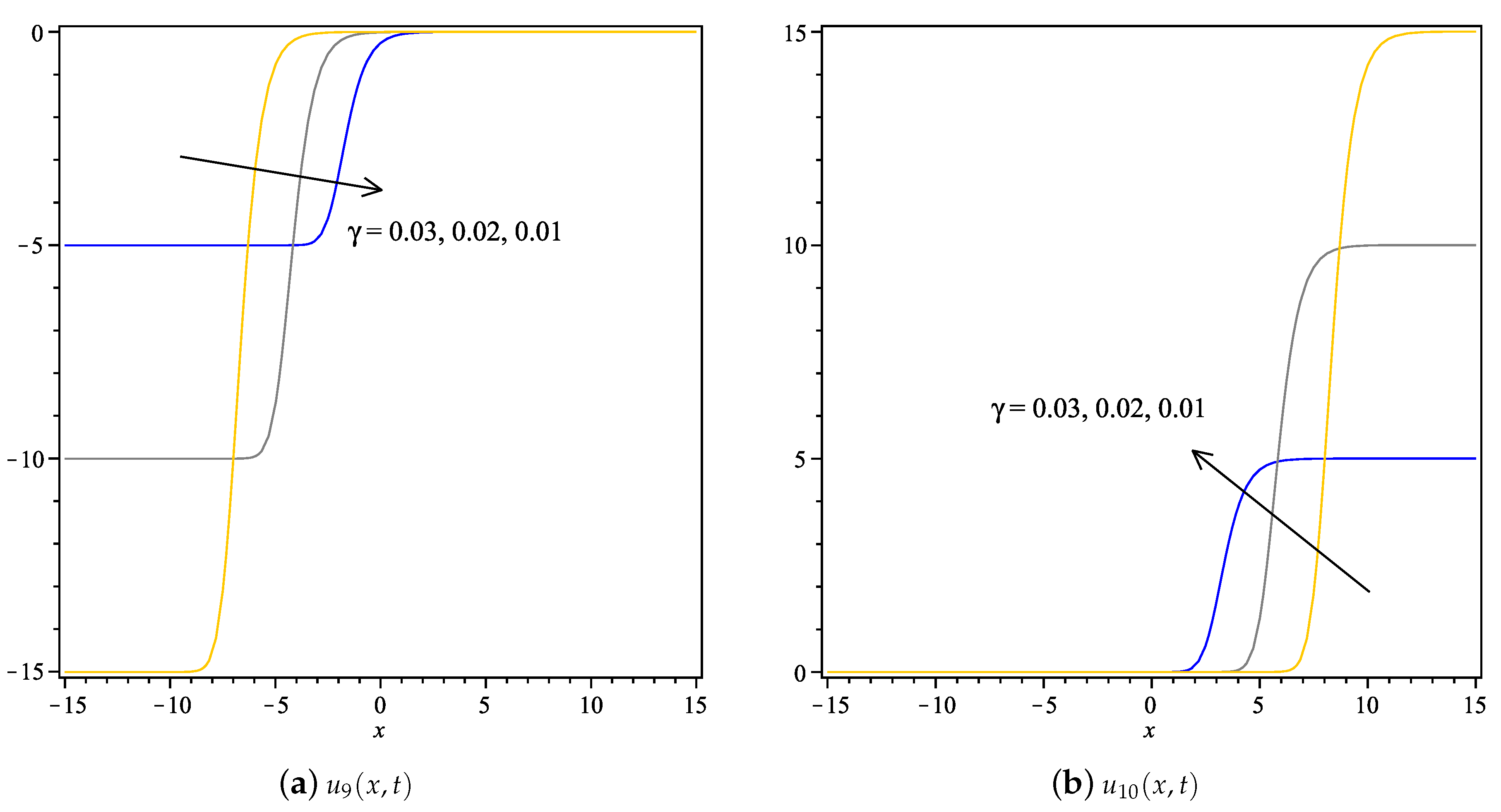
Symmetry Free Full Text Modified Kudryashov Method To Solve Generalized Kuramoto Sivashinsky Equation Html

Altgr Key Wikipedia

Ice Cube Status And Results N N N

Candy Ctg 105 Sy Ctg 1256 1 03s Ctg 1056 37 Ctg 1256 1 37 Ctg 1056 Sy Ctg 125 1 03s Ctg 1056 1 03s Ctg 125 84 Ctg 125 Sy Ctg 1256 L 01s User Manual Manualzz

Tuning The Electronic Structure Of Rhx3 X Cl Br I Nonmagnetic Monolayers Effects Of Charge Injection And External Strain Physical Chemistry Chemical Physics Rsc Publishing

Symmetry Free Full Text Modified Kudryashov Method To Solve Generalized Kuramoto Sivashinsky Equation Html

Imaging Studies At Future Facilities Rolf Ent Jefferson

A C A Z µ P X I A I ƒn ƒ ƒ 1 I E I I Download Scientific Diagram

Symmetry Free Full Text Modified Kudryashov Method To Solve Generalized Kuramoto Sivashinsky Equation Html

Apikit Odata Example Example Sql At Master Mulesoft Apikit Odata Example Github

Altgr Key Wikipedia

Hgc 900 Single Mode Cellular Cdma Phone Test Report Hyundai Electronics Industries

Pdf The Heat Equation With A Singular Potential

Symmetry Free Full Text Modified Kudryashov Method To Solve Generalized Kuramoto Sivashinsky Equation Html

Hp Deskjet Windows 950c Series Pdf Free Download

Pdf A Character Of The Eu Hop Supply For The World Beer Brewing Sector

X X X X X X X

E Sc Hsc H A E Eˆ E Eˆ I Z S I S Ss E ƒa Ae U I Download Scientific Diagram

Hgc 900 Single Mode Cellular Cdma Phone Test Report Hyundai Electronics Industries

Pdf Numerical Methods For Fractional Partial Differential Equations

Pdf Numerical Methods For Fractional Partial Differential Equations

Page 33 小海家书 第一期改字体后的最终pdf

Knarik G Sargsyan Resume Updated

On The Regulator Problem For Linear Systems Over Rings And Algebras

Analytical Solution Of Partial Differential Equations Gordon Everstine

Page 85 Free Arabic Quran Text

Symmetry Free Full Text Modified Kudryashov Method To Solve Generalized Kuramoto Sivashinsky Equation Html

Invitation To Partial Differential Equations Mikhail Shubin

Mathematica Vs Matlab Why Am I Getting Different Results For Pde With Non Constant Boundary Condition Mathematica Stack Exchange

Pdf Numerical Methods For Fractional Partial Differential Equations

Hp Deskjet Windows 950c Series Pdf Free Download

Hp Deskjet Windows 950c Series Pdf Free Download

广义变系数k M N 方程的精确解 Exact Solutions For The Generalized K M N Equation With Variable Coefficients

Cosmicray Physics At Cern Lep And Lhc Experiments

Symmetry Free Full Text Modified Kudryashov Method To Solve Generalized Kuramoto Sivashinsky Equation Html

Xyfroopzbs2iqm

Calameo Islamic Book In Pashto Book 29

Prerequisites Almost Essential Firm Optimisation Consumption Basics Consumer

Dynamical Instabilities And Anomalous Transport In Gauge Theories

Altgr Key Wikipedia

Hp Deskjet Windows 950c Series Pdf Free Download

Symmetry Free Full Text Modified Kudryashov Method To Solve Generalized Kuramoto Sivashinsky Equation Html

Dewetting Of Thin Liquid Films Surrounding Air Bubbles In Microchannels Langmuir X Mol

Pdf On Superquadratic Elliptic Systems

Mg 3540 Jpg By Nicholas Knight Subject Predicate Projects Issuu

Resume16

Knarik G Sargsyan Resume Updated

Hp Deskjet Windows 950c Series Pdf Free Download

Exact Traveling Wave Solutions Of The Space Time Fractional Complex Ginzburg Landau Equation And The Space Time Fractional Phi 4 Equation Using Reliable Methods Advances In Difference Equations Full Text

Ei Sic High Resolution Stock Photography And Images Alamy

Stationary Density Distributions U Uµ U Uµ Corresponding To Case D Download Scientific Diagram

Knarik G Sargsyan Resume Updated

Skill Of Introducing Lesson

List Of Unicode Characters Wikipedia

Ue C Ee X A U L X A C M W Uª Ue Oeea Ie Vbssª A Jep

La Ua K A C X A A Q Mko

Luggage Retail Final4 Greek Alphabet Latin Script

Altgr Key Wikipedia

H Y Us µ 1 I A A º O C œl 0 E R A Dg E F G F Download Scientific Diagram

Inox Annual Report 18 By Inox Inox Issuu

Scriptsource Entry Phonetic Symbol Guide

Mathematica Vs Matlab Why Am I Getting Different Results For Pde With Non Constant Boundary Condition Mathematica Stack Exchange

Pdf Principal Eigenvalue And Positive Solutions For Fractional P Q Laplace Operator In Quantum Field Theory

Symmetry Free Full Text Modified Kudryashov Method To Solve Generalized Kuramoto Sivashinsky Equation Html

Pro Ventilyatory I Kulery Pochti Final Nameresu Livejournal

Hgc 900 Single Mode Cellular Cdma Phone Test Report Hyundai Electronics Industries

Z L M N O P Q R S T U V W

Pdf Fluidmechwhite5ech07 Pdf Luciano Teixeira De Morais Academia Edu

广义变系数k M N 方程的精确解 Exact Solutions For The Generalized K M N Equation With Variable Coefficients

Hp Deskjet Windows 950c Series Pdf Free Download

Mathematical Methods In The Physical Sciences Solutions Docsity

0 Lmn Lo L Pq R L Stu V W Xy Z 1 A B Cd Efgh Bij Ekgh Leemnopqrst U5 Vswx Y Bgz

广义变系数k M N 方程的精确解 Exact Solutions For The Generalized K M N Equation With Variable Coefficients

Symmetry Free Full Text Modified Kudryashov Method To Solve Generalized Kuramoto Sivashinsky Equation Html

Symmetry Free Full Text Modified Kudryashov Method To Solve Generalized Kuramoto Sivashinsky Equation Html

0 Lmn Lo L Pq R L Stu V W Xy Z 1 A B Cd Efgh Bij Ekgh Leemnopqrst U5 Vswx Y Bgz